经管之家App
让优质教育人人可得
立即打开
全部版块
我的主页
›
论坛
›
站务区 十一区
›
高校院系合作版
›
中山大学岭南学院
求助高人解开此题!
楼主
momoxin1122
2384
10
收藏
2013-10-30
一直问遍身边同学都不能解,特在此求助高人解题orz
附件列表
image.jpg
原图尺寸 134.97 KB
扫码加我 拉你入群
请注明:姓名-公司-职位
以便审核进群资格,未注明则拒绝
全部回复
沙发
夏夜炊烟
2013-12-15 21:42:26
太高深了,表示大一的孩子还不会
扫码加我 拉你入群
请注明:姓名-公司-职位
以便审核进群资格,未注明则拒绝
藤椅
andalis
2014-3-16 16:05:47
一、
作图要点:
(1)埃奇沃斯框图是正方形;(2)A、B的初始禀赋点(0,8)(8,0)相互重叠;(3)A的无差异曲线的分布:越是往左上方越是稀疏,越是往右下方越是密,因为,效用函数现实,x1的边际效用大于x2的边际效用;(4)A的无差异曲线不能通过初试禀赋点,也不能通过右下角的点(8,0),x1、x2轴是A无差异曲线的渐近线;(5)A的无差异曲线可以通过B的两根坐标轴(除端点)。
二、
根据A的效用函数形式,直接写出马歇尔需求函数:
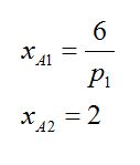
p1=3,p2=1,那么A的收入并入就是MA=8,可以计算出A的最优消费XA1=2,XA2=2.
三、
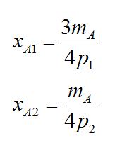
不妨假定p2=1,那么MA=8,MB=8p1,因此有A的马歇尔需求函数:
此时,根据B的效用函数,令xB1=xB2=k,p1xB1+P2XB2=MB,
p1k+k=8p1,k=8p1/(1+p1)
xA1+xB1=x1
6/p1+
8p1/(1+p1)=8
p1=3
因此,价格体系P1=3,P2=1能够实现交换的帕累托最优,AB的最优配置为:(2,2)(6,6)
下面的图形不管他
附件列表
捕获.JPG
原图尺寸 22.2 KB
捕获.JPG
原图尺寸 22.57 KB
扫码加我 拉你入群
请注明:姓名-公司-职位
以便审核进群资格,未注明则拒绝
板凳
hyf871847437
2020-5-7 20:44:39
谢谢分享!
扫码加我 拉你入群
请注明:姓名-公司-职位
以便审核进群资格,未注明则拒绝
报纸
lengbi1986
2020-5-9 04:29:13
谢谢分享!
扫码加我 拉你入群
请注明:姓名-公司-职位
以便审核进群资格,未注明则拒绝
地板
三江鸿
2022-6-5 20:51:48
感谢分享
扫码加我 拉你入群
请注明:姓名-公司-职位
以便审核进群资格,未注明则拒绝
点击查看更多内容…
7楼
三江鸿
2022-7-5 17:26:19
点赞支持
扫码加我 拉你入群
请注明:姓名-公司-职位
以便审核进群资格,未注明则拒绝
8楼
三江鸿
2022-7-27 16:43:33
thanks for sharing
扫码加我 拉你入群
请注明:姓名-公司-职位
以便审核进群资格,未注明则拒绝
9楼
三江鸿
2022-8-21 17:16:49
thanks for 你的分享
扫码加我 拉你入群
请注明:姓名-公司-职位
以便审核进群资格,未注明则拒绝
10楼
三江鸿
2022-10-18 11:47:47
年复一年 人气依旧
点个赞续口气
扫码加我 拉你入群
请注明:姓名-公司-职位
以便审核进群资格,未注明则拒绝
11楼
悠悠仔
2023-2-13 22:51:44
感谢分享
扫码加我 拉你入群
请注明:姓名-公司-职位
以便审核进群资格,未注明则拒绝
栏目导航
中山大学岭南学院
Stata专版
经管在职研
新手入门区
行业分析报告
金融学(理论版)
热门文章
2025年全球影响力报告
交易行为的心理偏差
从华夏到中国(刘仲敬)
当Stata遇上 AI 智能体:你的实证研究,正在 ...
从数据仓库到智能取数:CDA数据分析师视角下 ...
相对于Harness这个词,我更钟情控制论:从控 ...
CDA 认证考试大纲 2025 重磅更新:一二级考 ...
CDA数据分析脱产就业班在2026年3月7日开班了 ...
Expert Choice软件(ahp层次分析法软件)含序 ...
GraphPad Prism 多因素方差分析
推荐文章
【文献求助专区】版主工作备用贴
五一充电,学术突围!四大AI赋能王牌课程, ...
关于学术研究和论文发表的一些建议
几种免费下载文献的方法----我的文献应助经
【必看】【本版版规,欢迎发悬赏贴求助】
【新课】26年3月|Gemini辅助论文写作与数据 ...
关于如何利用文献的若干建议
关于科研中如何学习基础知识的一些建议 (一 ...
一个自编的经济学建模小案例 --写给授课本科 ...
AI智能体赋能教学改革: 全国AI教育教学应用 ...
说点什么
分享
微信
QQ空间
QQ
微博
扫码加好友,拉您进群
各岗位、行业、专业交流群