经管之家App
让优质教育人人可得
立即打开
全部版块
我的主页
›
论坛
›
提问 悬赏 求职 新闻 读书 功能一区
›
经管百科
›
爱问频道
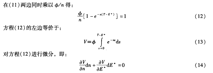
一个***微分方程
楼主
koboo
610
1
收藏
2013-11-21
求大神给看看,这咋推出来的?
扫码加我 拉你入群
请注明:姓名-公司-职位
以便审核进群资格,未注明则拒绝
全部回复
沙发
koboo
2013-11-21 18:49:46
谁给说说吧,
扫码加我 拉你入群
请注明:姓名-公司-职位
以便审核进群资格,未注明则拒绝
栏目导航
爱问频道
学术道德监督
站务与外事
休闲灌水
求助成功区
悬赏大厅
热门文章
展望2026:学术智能体即将崛起?
CDA全国考点信息一览(更新于2025年12月10日 ...
CDA数据分析脱产就业班于2025年12月08日开班 ...
2035年中国产业政策研究报告20251204
初等数学论丛+第8辑
2026年人工智能趋势报告:颠覆规则与未来前 ...
项目介绍 MATLAB实现基于DTW-GPR 动态时间规 ...
数字消费蓝皮书(2025年) 20251229
【多指标】2001-2024年上市公司企业供应链风 ...
【顶刊多指标】2000-2024年上市公司企业股票 ...
推荐文章
12月武汉站|Deepseek辅助论文写作与数据分 ...
2026JG学术冬训营:从Stata初高到Python机器 ...
关于如何利用文献的若干建议
关于学术研究和论文发表的一些建议
关于科研中如何学习基础知识的一些建议 (一 ...
一个自编的经济学建模小案例 --写给授课本科 ...
AI智能体赋能教学改革: 全国AI教育教学应用 ...
2025中国AIoT产业全景图谱报告-406页
关于文献求助的一些建议
几种免费下载文献的方法----我的文献应助经
说点什么
分享
微信
QQ空间
QQ
微博
扫码加好友,拉您进群
各岗位、行业、专业交流群