全部版块 我的主页
论坛 数据科学与人工智能 数据分析与数据科学 MATLAB等数学软件专版
6771 12
2013-12-01
DEA达人能否回答一下我的白痴问题:
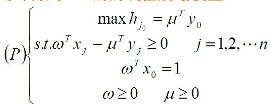
DEA的CCR模型,从那个线性规划P到对偶规划D,怎么变换的?
怎么会突然凭空多个θ出来?代表什么意思?原规划P的目标函数里也没有X0,只有Y0。可能很白痴,但撸主的确看了不少资料也没搞懂。运筹里的对偶变换我是知道的。
线性规划对偶规划




二维码

扫码加我 拉你入群

请注明:姓名-公司-职位

以便审核进群资格,未注明则拒绝

全部回复
2013-12-2 09:54:29
自己顶一下。跪求达人指点!!!
二维码

扫码加我 拉你入群

请注明:姓名-公司-职位

以便审核进群资格,未注明则拒绝

2013-12-9 18:57:40
帮顶...
二维码

扫码加我 拉你入群

请注明:姓名-公司-职位

以便审核进群资格,未注明则拒绝

2013-12-16 21:44:59
帮顶 不懂 最近也在研究
二维码

扫码加我 拉你入群

请注明:姓名-公司-职位

以便审核进群资格,未注明则拒绝

2013-12-18 21:14:29
abbylala 发表于 2013-12-16 21:44
帮顶 不懂 最近也在研究
嗯。可能大多数都是拿软件套数据,没怎么仔细研究这个理论本身。
尤其是内在的原理。
二维码

扫码加我 拉你入群

请注明:姓名-公司-职位

以便审核进群资格,未注明则拒绝

2015-4-27 09:32:45
呢个问题我都唔识啊,不过我念呢个问题同果个收益最大化同埋成本最小化既思路有关既。
二维码

扫码加我 拉你入群

请注明:姓名-公司-职位

以便审核进群资格,未注明则拒绝

点击查看更多内容…
相关推荐
栏目导航
热门文章
推荐文章

说点什么

分享

扫码加好友,拉您进群
各岗位、行业、专业交流群