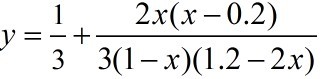
[img]file:///C:\Users\hp\AppData\Roaming\Tencent\Users\1016404392\QQ\WinTemp\RichOle\VY`(G)`Y6S[(ALE6VA1YDIY.jpg[/img]

,在matlab中画出该函数的图形,x的取值是在0-0.8之间,但是我不会编程,尤其是公式y的编写,我写出了下面的,但y的不正确,有会的大侠帮帮忙,现在急用,谢谢啦~
x=0.0:0.1:0.8;y=1/3+(x.*(x-0.20).*2)/((1-x).*(1.2-2*x).*2);