经管之家App
让优质教育人人可得
立即打开
全部版块
我的主页
›
论坛
›
提问 悬赏 求职 新闻 读书 功能一区
›
经管百科
›
爱问频道
Redux模型中消费需求函数的推导
楼主
僖皮儿
1666
2
收藏
2013-12-28
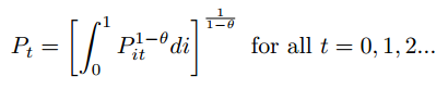
Redux模型里,
本国个人对i的需求为:
请问这个是怎么从条件
和
推导出来的?到底怎么积分?
扫码加我 拉你入群
请注明:姓名-公司-职位
以便审核进群资格,未注明则拒绝
全部回复
沙发
僖皮儿
2013-12-29 08:45:56
高手快出现啊~
扫码加我 拉你入群
请注明:姓名-公司-职位
以便审核进群资格,未注明则拒绝
藤椅
simadingmu
2015-9-10 11:35:40
ces函数的性质
扫码加我 拉你入群
请注明:姓名-公司-职位
以便审核进群资格,未注明则拒绝
相关推荐
用财政杠杆撬动消费需求
[原创]新学期巨献--REDUX超级详解学习材料
省城镇居民消费需求函数模型及分析
REDUX模型
如何拉动内部消费需求
到哪里找消费需求数量的数据?
Money and Credit Redux
国内大米市场消费需求疲软
Palmerston redux
关于redux模型3个欧拉方程的推导
栏目导航
爱问频道
stata专版
行业分析报告
经管文库
文献求助专区
数据交流中心
热门文章
CDA考试模拟题库:新增章节练习题(更新于1 ...
文本分析:从经管顶刊“加分项”到学术发表 ...
【AI Agent可靠性】 智能体Agent记忆系统: ...
CDA 认证考试大纲 2025 重磅更新:一二级考 ...
CAIE人工智能工程师认证
哈耶克作品集 6本 含通往奴役之路、自由宪章 ...
25秋投资学回忆
博观研究院2025年中国跨境进口保健品市场分 ...
南大CSSCI(2025-2026)来源期刊目录及扩展版
PromptCoT-2.0-SFT-4.8M 监督微调提示 SFT ...
推荐文章
AI狂潮席卷学术圈,不会编程也能打造专属智 ...
10月重磅来袭|《打造Coze/Dify专属学术智能 ...
最快1年拿证,学费不足5W!热门美国人工智能 ...
关于如何利用文献的若干建议
关于学术研究和论文发表的一些建议
关于科研中如何学习基础知识的一些建议 (一 ...
一个自编的经济学建模小案例 --写给授课本科 ...
AI智能体赋能教学改革: 全国AI教育教学应用 ...
2025中国AIoT产业全景图谱报告-406页
关于文献求助的一些建议
说点什么
分享
微信
QQ空间
QQ
微博
扫码加好友,拉您进群
各岗位、行业、专业交流群