全部版块 我的主页
论坛 经济学论坛 三区 微观经济学
9929 3
2014-01-06
这时候,递增和递减的都可以求出来,就这个不变的怎么求啊?
二维码

扫码加我 拉你入群

请注明:姓名-公司-职位

以便审核进群资格,未注明则拒绝

全部回复
2014-1-6 16:52:46
求产出供给函数,应该从利润最大化,利润函数对p求偏导可以得到,在长期,只有规模报酬递减时,利润才会有正的唯一解。规模报酬递减时,应该求不出来吧?
二维码

扫码加我 拉你入群

请注明:姓名-公司-职位

以便审核进群资格,未注明则拒绝

2014-1-6 17:02:19
falelang 发表于 2014-1-6 16:52
求产出供给函数,应该从利润最大化,利润函数对p求偏导可以得到,在长期,只有规模报酬递减时,利润才会有正 ...
奇怪,如果你不求出供给函数,怎么得到利润函数啊?我根据树上的步骤是,首先求出要素需求,然后求供给函数,最后把前两个代入得利润函数。按照这个步骤,求供给函数y过程中,y的幂指数为(1-1(a+b)), 柯布道格拉斯两个指数之和不等于1时,y才出现在方程中,当=1时,y就消失了。所以我不明白该怎么求。
不知道你怎么求出来的呢?能详细地说一下么?拜托了。
二维码

扫码加我 拉你入群

请注明:姓名-公司-职位

以便审核进群资格,未注明则拒绝

2014-1-6 21:22:13
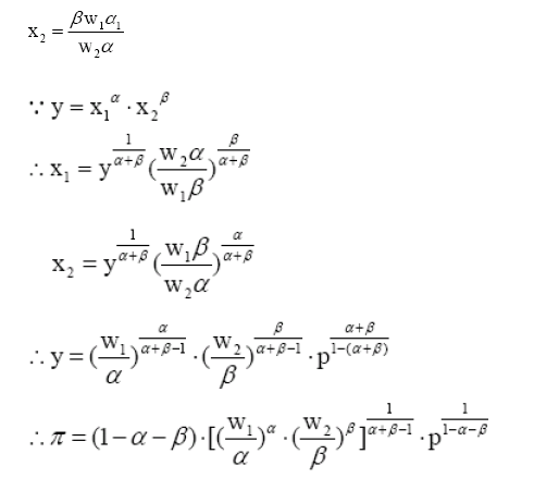
123.png
对的,楼主你看下上面这个图,简单点,设生产函数是图中的形式,要素需求通过一阶条件代入得到,然后把要素需求代入生产函数得到产出供给,最后得到利润函数。
那么我们会发现,如果让利润函数是well-defined,那么一定有α+β<=1,α>0,β>0
当规模报酬不变时,如果存在最大利润,那么最大利润一定为0,
二维码

扫码加我 拉你入群

请注明:姓名-公司-职位

以便审核进群资格,未注明则拒绝

相关推荐
栏目导航
热门文章
推荐文章

说点什么

分享

扫码加好友,拉您进群
各岗位、行业、专业交流群