全部版块 我的主页
论坛 计量经济学与统计论坛 五区 计量经济学与统计软件
1195 2
2014-01-10
悬赏 20 个论坛币 未解决
QQ图片20140110222142.jpg

原图尺寸 22.08 KB

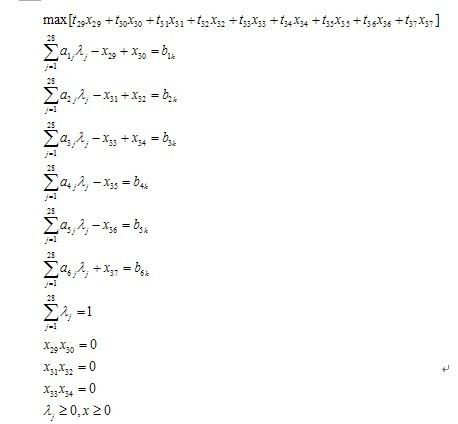
原模型

原模型

新建 Microsoft Office Word 文档.docx

大小:17.28 KB

 马上下载

模型和lingo程序

二维码

扫码加我 拉你入群

请注明:姓名-公司-职位

以便审核进群资格,未注明则拒绝

全部回复
2014-1-12 02:10:57
我看了你的WORD文件,通过用EXCEL的SOLVER(因为我不会用LINGO,但是EXCEL的SOLVER也是蛮强大的)计算,发现要满足你列的所有限制条件,只可能x全是0,lambda1~lambda27全是0,Lambda28=1。那么你要求的目标函数的最大值就是0.
二维码

扫码加我 拉你入群

请注明:姓名-公司-职位

以便审核进群资格,未注明则拒绝

2014-1-13 09:04:06
TimeT 发表于 2014-1-12 02:10
我看了你的WORD文件,通过用EXCEL的SOLVER(因为我不会用LINGO,但是EXCEL的SOLVER也是蛮强大的)计算,发现 ...
虽然不是我想要的答案,还是非常感谢您~~
二维码

扫码加我 拉你入群

请注明:姓名-公司-职位

以便审核进群资格,未注明则拒绝

栏目导航
热门文章
推荐文章

说点什么

分享

扫码加好友,拉您进群
各岗位、行业、专业交流群