全部版块 我的主页
论坛 金融投资论坛 六区 金融学(理论版)
3096 6
2008-02-06

[求助]随机微分方程的题

还有一道,是求证随机过程的部分积分公式:

求证d[X(t)Y(t)]=X(t)dY(t)+Y(t)dX(t)+dX(t)dY(t),X(t)、Y(t)都是伊藤过程。

想知道哪个教材上有解法,或者有没有可以套用的公式或方法,跪谢!!

[em24]
二维码

扫码加我 拉你入群

请注明:姓名-公司-职位

以便审核进群资格,未注明则拒绝

全部回复
2008-2-8 23:43:00
我也想知道,帮你顶,呵呵.最后那个求证用Taylor展开略去高阶项就好了.
二维码

扫码加我 拉你入群

请注明:姓名-公司-职位

以便审核进群资格,未注明则拒绝

2008-2-9 12:31:00

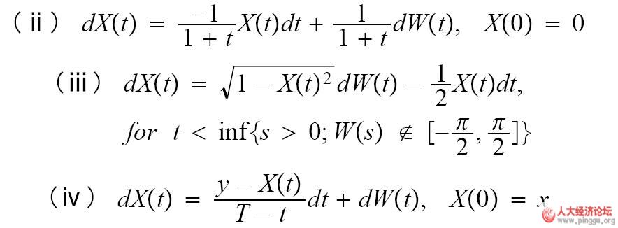
ii是reducible SDE

iii应该也是,但是那个条件不知道什么意思

iv是brownian bridge

XY = ((X + Y)^2 - X^2 - Y^2) / 2,然后逐个用伊藤

[此贴子已经被作者于2008-2-9 12:32:24编辑过]

二维码

扫码加我 拉你入群

请注明:姓名-公司-职位

以便审核进群资格,未注明则拒绝

2008-2-9 17:45:00

SDE

SDE学得少,大人能不能介绍一下详细点的解法?^_^
二维码

扫码加我 拉你入群

请注明:姓名-公司-职位

以便审核进群资格,未注明则拒绝

2008-2-10 05:03:00

(ii) X(t) = W(t) / ( 1 + t)

(iii) X(t) = sin(W(t))

(iv) X(t) = x * (1 - t / T) + y * t / T + (T - t) \int_0^t 1 / (T - s) dW(s)

二维码

扫码加我 拉你入群

请注明:姓名-公司-职位

以便审核进群资格,未注明则拒绝

2010-9-6 14:26:52
龚光鲁的随机微分方程及其应用概要上面有解法,有现成公式的,可以去查查
二维码

扫码加我 拉你入群

请注明:姓名-公司-职位

以便审核进群资格,未注明则拒绝

点击查看更多内容…
相关推荐
栏目导航
热门文章
推荐文章

说点什么

分享

扫码加好友,拉您进群
各岗位、行业、专业交流群