全部版块 我的主页
论坛 经济学论坛 三区 微观经济学
54985 10
2014-02-24
竞争性行业中的厂商,生产函数:q=AL∧αK∧β(柯布道格拉斯生产函数)。假定劳动和资本价格为W1和W1,保持不变。
(1)短期内资本的投入量保持不变,求厂商的短期成本函数
(2)长期成本函数
(3)运用α、β取值讨论厂商规模报酬状况对长期成本曲线的影响


小白,解释越详细越浅显越好。
二维码

扫码加我 拉你入群

请注明:姓名-公司-职位

以便审核进群资格,未注明则拒绝

全部回复
2014-4-23 22:25:22
写出等成本线求解即可。
二维码

扫码加我 拉你入群

请注明:姓名-公司-职位

以便审核进群资格,未注明则拒绝

2014-5-11 13:04:35
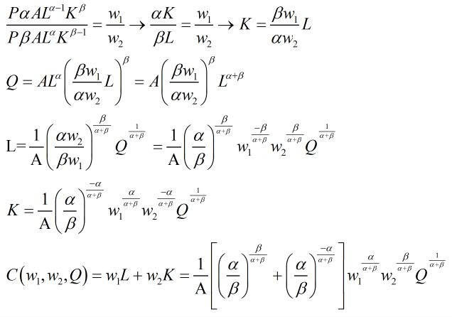
QQ截图20140511130323.png 设P为产品价格,,这是长期成本函数,可是这太麻烦了。不知道对不对
二维码

扫码加我 拉你入群

请注明:姓名-公司-职位

以便审核进群资格,未注明则拒绝

2014-5-11 23:08:52
求出均衡点的L和K后,代人生产函数,求出均衡产出,然后,用成本函数对均衡产出求导即可。
二维码

扫码加我 拉你入群

请注明:姓名-公司-职位

以便审核进群资格,未注明则拒绝

2014-5-11 23:10:23
因为成本函数是成本对产出变化的函数。
二维码

扫码加我 拉你入群

请注明:姓名-公司-职位

以便审核进群资格,未注明则拒绝

2014-6-6 11:10:56
首先明确,成本函数,无论长短期,都是成本(购买生产材料的支出,因变量)与产量(自变量)的函数。但是成本不能直接用产量来表示,只能用用于购置生产资料的花费来表示。那么怎么用产量来表示呢?注意,产量和生产资料使用的数量是有联系的,即生产函数。因此,此类题目的本质是用最优化原则计算出产量与生产材料的数量关系,让后用产量来带入生产资料得出成本函数。
二维码

扫码加我 拉你入群

请注明:姓名-公司-职位

以便审核进群资格,未注明则拒绝

点击查看更多内容…
相关推荐
栏目导航
热门文章
推荐文章

说点什么

分享

扫码加好友,拉您进群
各岗位、行业、专业交流群