经管之家App
让优质教育人人可得
立即打开
全部版块
我的主页
›
论坛
›
计量经济学与统计论坛 五区
›
计量经济学与统计软件
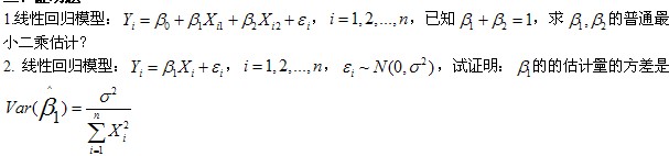
计量题目求解!急急急!
楼主
heychloe
1188
4
收藏
2014-03-25
扫码加我 拉你入群
请注明:姓名-公司-职位
以便审核进群资格,未注明则拒绝
全部回复
沙发
youkeyan
2014-3-25 16:56:47
希望对你有帮助。
附件列表
QQ图片20140325165534.jpg
原图尺寸 645.72 KB
扫码加我 拉你入群
请注明:姓名-公司-职位
以便审核进群资格,未注明则拒绝
藤椅
danica33
2014-3-25 19:50:45
按最小二乘定义来做就行
附件列表
20140325_194444.jpg
原图尺寸 1.47 MB
20140325_194444.jpg
原图尺寸 1.49 MB
扫码加我 拉你入群
请注明:姓名-公司-职位
以便审核进群资格,未注明则拒绝
板凳
ook2013
2014-3-25 20:33:30
2 12 12 12 4
扫码加我 拉你入群
请注明:姓名-公司-职位
以便审核进群资格,未注明则拒绝
报纸
heychloe
2014-3-28 10:03:32
非常感谢大家!!
扫码加我 拉你入群
请注明:姓名-公司-职位
以便审核进群资格,未注明则拒绝
栏目导航
计量经济学与统计软件
市场行情分析
金融实务版
爱问频道
休闲灌水
马克思主义经济学
热门文章
当Stata遇上 AI 智能体:你的实证研究,正在 ...
CDA 认证考试大纲 2025 重磅更新:一二级考 ...
OpenClaw蓝皮书-从入门到实战的完整指南
Strategic Project Management战略项目管理
2026中国私密行业消费者洞察与机构增长白皮 ...
好书分享-《天才的拓荒者:冯诺依曼传》
从指标罗列到体系赋能:CDA数据分析师视角下 ...
从数据仓库到智能取数:CDA数据分析师视角下 ...
stata里如何对面板数据进行Fractional Logi ...
A Practical Guide to Logistic Regression ...
推荐文章
五一充电,学术突围!四大AI赋能王牌课程, ...
关于学术研究和论文发表的一些建议
几种免费下载文献的方法----我的文献应助经
【必看】【本版版规,欢迎发悬赏贴求助】
【新课】26年3月|Gemini辅助论文写作与数据 ...
关于如何利用文献的若干建议
关于科研中如何学习基础知识的一些建议 (一 ...
一个自编的经济学建模小案例 --写给授课本科 ...
AI智能体赋能教学改革: 全国AI教育教学应用 ...
2025中国AIoT产业全景图谱报告-406页
说点什么
分享
微信
QQ空间
QQ
微博
扫码加好友,拉您进群
各岗位、行业、专业交流群