经管之家App
让优质教育人人可得
立即打开
全部版块
我的主页
›
论坛
›
金融投资论坛 六区
›
金融学(理论版)
›
金融工程(数量金融)与金融衍生品
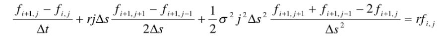
请问如何写隐式差分的matlab程序
楼主
sue5386258
2861
2
收藏
2014-04-02
r=0.05; T=10;
想从后往前推,求出初始时刻的值
怎么写要matlab的程序来进行计算啊,我写了好久都计算有错误啊,求教
附件列表
捕获6.JPG
原图尺寸 7.82 KB
捕获4.JPG
原图尺寸 8 KB
扫码加我 拉你入群
请注明:姓名-公司-职位
以便审核进群资格,未注明则拒绝
全部回复
沙发
xuruilong100
2014-4-2 13:04:33
https://bbs.pinggu.org/thread-2803926-2-1.html
扫码加我 拉你入群
请注明:姓名-公司-职位
以便审核进群资格,未注明则拒绝
藤椅
Chemist_MZ
2014-4-2 23:40:00
你这个是显式的公式。
你可以参考楼上的code,
也可以看这本书:Numerical Methods in Finance A MATLAB-Based Introduction(链接) 第八章或是第九章(
Option Pricing by Finite Difference Methods)
,不同版本的章节不一样,看(implicit approach)里面有现成的代码你可以参考下。隐式的要点在于每次递归的时候都要解N个联立的方程组,要用到三对角矩阵。
https://bbs.pinggu.org/thread-899910-1-1.html
best,
扫码加我 拉你入群
请注明:姓名-公司-职位
以便审核进群资格,未注明则拒绝
相关推荐
[原创]VaR计算课件及Matlab程序
Matlab快速独立分量分析算法matlab程序
一个简单的matlab程序不知道哪里错了
matlab程序与元胞自动机模型
求欧式回望期权的二叉树和三叉树和的matlab程序
怎样用R语言调用MATLAB程序
粗糙集约简的MATLAB程序
经管类Matlab程序代写
Matlab程序如何将字段名输出到xls或csv文件中
求粗糙集重要度的MATLAB程序
栏目导航
金融工程(数量金融)与金融衍生品
经管高考
EViews专版
stata专版
行业分析报告
经管文库
热门文章
OpenClaw+Claude Code丨从"手动科研"到 ...
从数据源头到商业洞察:CDA数据分析师视角下 ...
Token经济学全景报告
好书分享-《图灵传:时代的拓荒者》
【重磅,24更新!】2012-2025我国社会融资规 ...
英媒:日产与奇瑞洽谈英工厂代产 以提升产能 ...
丰田1页A3纸的整理与沟通技巧 by 浅田卓
OpenClaw vs Hermes:一文深入理解两大通用 ...
CDA数据分析脱产就业班在2026年3月7日开班了 ...
CDA 认证考试大纲 2025 重磅更新:一二级考 ...
推荐文章
五一充电,学术突围!四大AI赋能王牌课程, ...
关于学术研究和论文发表的一些建议
几种免费下载文献的方法----我的文献应助经
【必看】【本版版规,欢迎发悬赏贴求助】
【新课】26年3月|Gemini辅助论文写作与数据 ...
关于如何利用文献的若干建议
关于科研中如何学习基础知识的一些建议 (一 ...
一个自编的经济学建模小案例 --写给授课本科 ...
AI智能体赋能教学改革: 全国AI教育教学应用 ...
2025中国AIoT产业全景图谱报告-406页
说点什么
分享
微信
QQ空间
QQ
微博
扫码加好友,拉您进群
各岗位、行业、专业交流群