经管之家App
让优质教育人人可得
立即打开
全部版块
我的主页
›
论坛
›
站务区 十一区
›
新手入门区
求解最优化问题
楼主
lrchen10
1573
3
收藏
2014-05-08
[img]file:///G:\12258347\12258347\Image\_17LXB@]~7_][)DK8518XJM.jpg[/img][img]file:///G:\12258347\12258347\Image\_17LXB@]~7_][)DK8518XJM.jpg[/img]
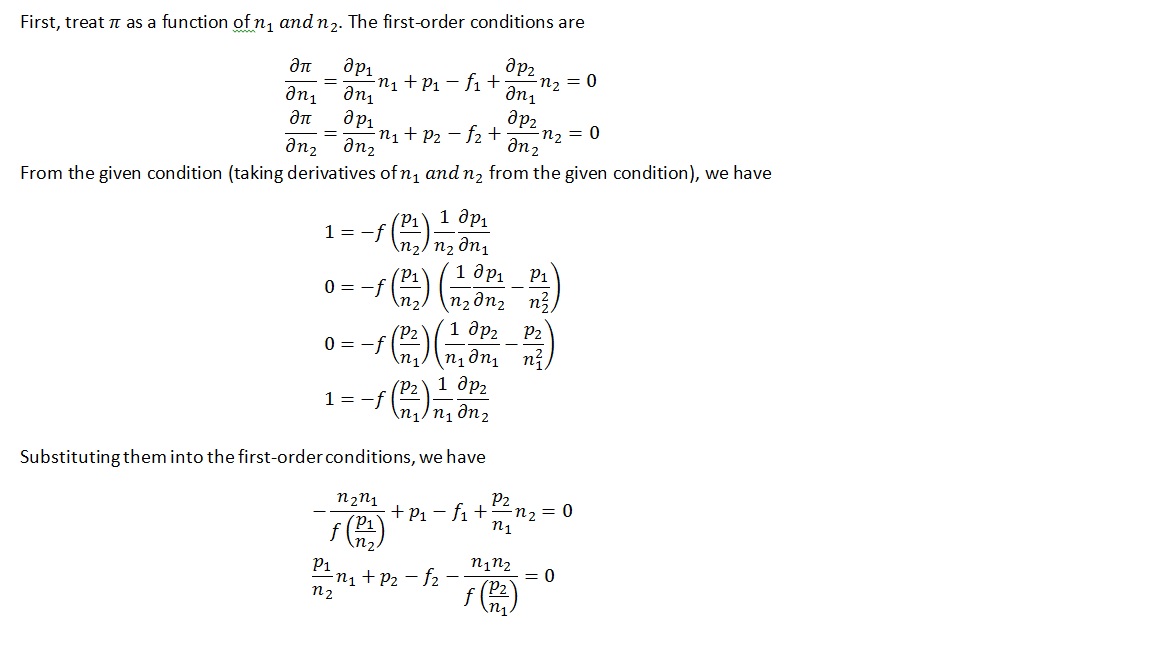
,所有变量非负,F为分布函数,求π最大值时p1和p2的值,f1和f2已知。求大仙赐教。怎么求呢?哪位大仙帮忙解决这个问题,感激不尽
扫码加我 拉你入群
请注明:姓名-公司-职位
以便审核进群资格,未注明则拒绝
全部回复
沙发
lrchen10
2014-5-8 21:41:40
我假定了F为均匀分布,但是最后求解的时候还是求不出来啊。用Matlab能仿真模拟一下么?
扫码加我 拉你入群
请注明:姓名-公司-职位
以便审核进群资格,未注明则拒绝
藤椅
pingguagain
2014-5-8 22:51:23
Not sure if you have any other conditions. If F is uniformed distributed on [0,1], the first-order conditions become:
2n_2-2n_1n_2-n_2^2 =f_1
2n_1-2n_1_n2-n_1^2=f_2
扫码加我 拉你入群
请注明:姓名-公司-职位
以便审核进群资格,未注明则拒绝
板凳
lrchen10
2014-5-12 08:30:40
万分感谢啊!
扫码加我 拉你入群
请注明:姓名-公司-职位
以便审核进群资格,未注明则拒绝
相关推荐
求解最优化问题
微积分在经济学最优化问题中的应用
求助!哪位大侠会解很多变量的最优化问题啊?
E到u的构造法实用吗?
RAS算法解决最优化问题
运筹学里面的最优化问题
多角色多元决策最优化问题----以《红高粱》结局为例
经济学中的最优化问题分析可以用什么软件?
最优化问题
一个最优化问题
栏目导航
新手入门区
经管高考
经管类求职与招聘
博弈论
会计与财务管理
保研/调剂(考研)
热门文章
表格结构数据的核心特征及具象实例解析
毕马威 - 中国内地与香港IPO市场2025年回顾 ...
高教现代数学基础23 矩阵计算六讲 徐树方,钱 ...
【24顶刊热点!】2000-2024上市公司股价崩盘 ...
求Journal of Computational and Graphical ...
查找文献Digital mapping of soil organic ...
《技术的本质》epub版本
精准匹配,菁英相伴--经管之家单身俱乐部, ...
科研时间70%耗在“下载-复制-粘贴”?零代码 ...
CDA数据分析师:商业数据分析实践的核心执行 ...
推荐文章
2026JG学术冬训营:从Stata初高到Python机器 ...
【必看】【本版版规,欢迎发悬赏贴求助】
26年寒假天津站|Gemini论文写作&数据分析 ...
关于如何利用文献的若干建议
关于学术研究和论文发表的一些建议
关于科研中如何学习基础知识的一些建议 (一 ...
一个自编的经济学建模小案例 --写给授课本科 ...
AI智能体赋能教学改革: 全国AI教育教学应用 ...
2025中国AIoT产业全景图谱报告-406页
关于文献求助的一些建议
说点什么
分享
微信
QQ空间
QQ
微博
扫码加好友,拉您进群
各岗位、行业、专业交流群