经管之家App
让优质教育人人可得
立即打开
全部版块
我的主页
›
论坛
›
计量经济学与统计论坛 五区
›
计量经济学与统计软件
›
EViews专版
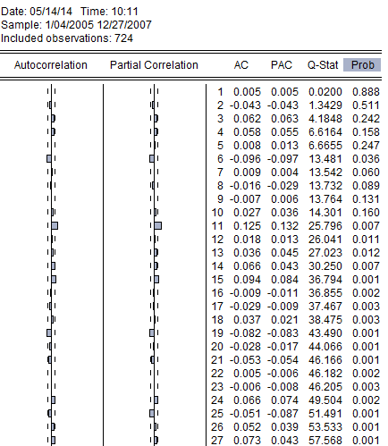
本人在对金融数据做GARCH模型,序列平稳,自相关和偏自相关图如下,说明什么问题?
楼主
对酒当歌123
3659
3
收藏
2014-05-14
扫码加我 拉你入群
请注明:姓名-公司-职位
以便审核进群资格,未注明则拒绝
全部回复
沙发
对酒当歌123
2014-5-14 10:23:14
前11阶p值都大于0.05,往后都小于0.05?谁能告诉我这是什么原因?
扫码加我 拉你入群
请注明:姓名-公司-职位
以便审核进群资格,未注明则拒绝
藤椅
对酒当歌123
2014-5-14 10:48:06
有没有大神?求指教啊!在线等~~~
扫码加我 拉你入群
请注明:姓名-公司-职位
以便审核进群资格,未注明则拒绝
板凳
胖胖小龟宝
2016-2-17 14:34:12
可以考虑ARMA(6,6)
扫码加我 拉你入群
请注明:姓名-公司-职位
以便审核进群资格,未注明则拒绝
相关推荐
哪位达人推荐一本介绍GARCH模型的书,谢谢
GARCH模型的失败检验法
GARCH模型及其在VaR中的应用
[原创]一篇用garch模型作的文章,个人认为比较有价值。
[求助]ARCH 和 GARCH模型
求教,ARMA-GARCH模型如何建立!谢谢
garch模型系数不显著怎么办
Rats 三元GARCH模型中如何在均值模型中加入外生变量?
求教,偏态t分布下GARCH模型的VaR计算
急,急,急,求教R软件的garch模型。有偿,重谢
栏目导航
EViews专版
计量经济学与统计软件
真实世界经济学(含财经时事)
悬赏大厅
微观经济学
金融实务版
热门文章
当AI遇见ML:高校教师如何借助AI与机器学习 ...
CDA 认证考试大纲 2025 重磅更新:一二级考 ...
CDA数据分析师实战:指标体系搭建的全流程方 ...
Essentials of Statistics for Research by ...
2025年AI智能体的兴起:未来展望报告(英)
祝贺奇瑞!祝贺尹同跃!
“奇瑞品质”再获权威认证
《数据要素发展报告(2025年)》---来源:中 ...
CDA数据分析师:全流程拆解数据治理开展路径 ...
【多指标】2000-2024年上市公司企业债务融资 ...
推荐文章
12月武汉站|Deepseek辅助论文写作与数据分 ...
2026JG学术冬训营:从Stata初高到Python机器 ...
关于如何利用文献的若干建议
关于学术研究和论文发表的一些建议
关于科研中如何学习基础知识的一些建议 (一 ...
一个自编的经济学建模小案例 --写给授课本科 ...
AI智能体赋能教学改革: 全国AI教育教学应用 ...
2025中国AIoT产业全景图谱报告-406页
关于文献求助的一些建议
几种免费下载文献的方法----我的文献应助经
说点什么
分享
微信
QQ空间
QQ
微博
扫码加好友,拉您进群
各岗位、行业、专业交流群