经管之家App
让优质教育人人可得
立即打开
全部版块
我的主页
›
论坛
›
提问 悬赏 求职 新闻 读书 功能一区
›
经管百科
›
爱问频道
Eviews中关于时间趋势处理问题!!急求大神解答
楼主
SMscorpio
1671
1
收藏
2014-06-22
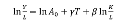
我做的是技术创新对湖北省的经济增长的贡献。在模型最后一步
,做实证分析的时候T是用时间趋势变量,加入@trend代替的。可是跑出来的结果却是
数据处理没有什么问题,同样的方法做山东省的就没有问题,大神请教一下是不是湖北省本身数据原因啊?求解答啊....
扫码加我 拉你入群
请注明:姓名-公司-职位
以便审核进群资格,未注明则拒绝
全部回复
沙发
SMscorpio
2014-6-22 22:18:33
求大神解答啊。。。
。。。
扫码加我 拉你入群
请注明:姓名-公司-职位
以便审核进群资格,未注明则拒绝
相关推荐
[求助]eviews 班 附上异方差判断的方程
请问高手
怎么在eviews中生成泊松随机数
Eviews是不是显得很老土?
急★Eviews★有模板有数据,帮忙用EVIEWS做VAR、做检验、脉冲等等
如何用Eviews做K-S、C-S、和A-D检验
初学eviews求助,残差项一阶自相关,用科克伦迭代时得出的系数是负值,说明什么问题
eviews
eviews得到的系数符号与理论不一致怎么办
求eviews 10.0
栏目导航
爱问频道
经管高考
经管文库(原现金交易版)
管理科学与工程
制度经济学
会计与财务管理
热门文章
通用指标与场景指标:CDA数据分析师的核心分 ...
2024年合集 ESG评级数据大全(彭博 华证 Wi ...
2025年第四季度中国货币政策执行报告
复变函数专题选讲
数论II : 岩泽理论和自守形式 [日]黑川信重
CDA 认证考试大纲 2025 重磅更新:一二级考 ...
在概率与代码之间:Agent Skills 是 AI 的枷 ...
CDA数据分析脱产就业班于2026年3月7日开班! ...
参数估计:CDA数据分析师的核心推断工具,用 ...
GeoSaaS永久会员版
推荐文章
2026JG学术冬训营:从Stata初高到Python机器 ...
【必看】【本版版规,欢迎发悬赏贴求助】
【新课】26年3月|Gemini辅助论文写作与数据 ...
关于如何利用文献的若干建议
关于学术研究和论文发表的一些建议
关于科研中如何学习基础知识的一些建议 (一 ...
一个自编的经济学建模小案例 --写给授课本科 ...
AI智能体赋能教学改革: 全国AI教育教学应用 ...
2025中国AIoT产业全景图谱报告-406页
关于文献求助的一些建议
说点什么
分享
微信
QQ空间
QQ
微博
扫码加好友,拉您进群
各岗位、行业、专业交流群