经管之家App
让优质教育人人可得
立即打开
全部版块
我的主页
›
论坛
›
数据科学与人工智能
›
数据分析与数据科学
›
Excel
crystal ball的移动自回归问题
楼主
bnbth
2010
1
收藏
2014-06-30
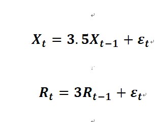
刚刚接触crystal ball,请教一下,在蒙特卡洛模拟时,crystal ball 里面怎么设置图片所示公式来求Rt(初值为0.8)?假设e服从均数为0,标准差为0.8的正态分布。
扫码加我 拉你入群
请注明:姓名-公司-职位
以便审核进群资格,未注明则拒绝
全部回复
沙发
bnbth
2014-6-30 21:51:50
后面的那个公式打错了,应该是这个
,
扫码加我 拉你入群
请注明:姓名-公司-职位
以便审核进群资格,未注明则拒绝
相关推荐
论坛上最全的Crystal Ball 模拟与风险分析震撼登场
请教关于 crystal ball 的几个问题!
求CRYSTAL BALL的教程
求教:crystal ball 能不能多次预测啊?
教程crystal ball 有很多例子,学习很不错
从哪可以下载到比较复杂(多表格)的Crystal Ball案例/模板?
crystal ball 7.3.1 专业版破解免注册
安装crystal ball 遇到问题
求crystal ball水晶球软件
crystal ball计算内部收益率,计算错误。大神求助
栏目导航
Excel
数据交流中心
经管文库(原现金交易版)
CFA、CVA、FRM等金融考证论坛
经管高考
EViews专版
热门文章
CDA数据分析脱产就业班在2026年3月7日开班了 ...
二次元开放世界游戏,席卷全球,新潮将至-- ...
2026年中国氢能产业发展白皮书
AI Hermes agent安装操作步骤附原生态Herme ...
CDA数据科学研究院发布《2026 全球数智化人 ...
ChatGPT Images 2.0震撼发布:AI不再只画画 ...
CAIE LEVEL Ⅰ考试更新说明(2026年4月)
从“数字”到“数据”:CDA数据分析师视角下 ...
CDA 认证考试大纲 2025 重磅更新:一二级考 ...
2026中国制造迈向全球价值链中高端:转型、 ...
推荐文章
五一充电,学术突围!四大AI赋能王牌课程, ...
关于学术研究和论文发表的一些建议
几种免费下载文献的方法----我的文献应助经
【必看】【本版版规,欢迎发悬赏贴求助】
【新课】26年3月|Gemini辅助论文写作与数据 ...
关于如何利用文献的若干建议
关于科研中如何学习基础知识的一些建议 (一 ...
一个自编的经济学建模小案例 --写给授课本科 ...
AI智能体赋能教学改革: 全国AI教育教学应用 ...
2025中国AIoT产业全景图谱报告-406页
说点什么
分享
微信
QQ空间
QQ
微博
扫码加好友,拉您进群
各岗位、行业、专业交流群