kuangsir6 发表于 2014-8-3 23:48 
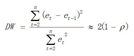
Durbin-Watson(DW)检验
1.DW检验用来检验残差的自相关。检验统计量为:
谢谢答复。
1-6条,规范的教材中,均有说明。第7条,所见者不多,但却是非常实用的。试问,关于第7条“一般认为,DW值在1.5-2.5之间即可说明无自相关现象”,可有规范的参考文献?我很想拜读一下,这个非常重要。谢谢。
我的印象中,DW适用于时间序列数据或纵向数据,对于横向数据或纵横交错的数据(即面板数据)是不适用的。而张文彤的教材,其实是一个面板数据。因此,我的观点是,张的教材中,其实不应该使用DW来判断残差项的独立性,而应该使用RUN检验(对残差项进行单变量的游程检验)或绘图观察(以Y预测值为横轴、残差为纵轴绘制散点图,若残差无明显规律性则可判断无自相关或具有随机性)。不知我的理解合适否?