全部版块 我的主页
论坛 数据科学与人工智能 数据分析与数据科学 SPSS论坛
1696 0
2014-08-15

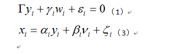
本人建立的联立方程模型如下:

QQ截图20140815140308.png


yi可以说是内生潜变量,wi和vi为外生变量,xi为内生变量,现在yi是未知的,这个模型如何估计?

请大神不吝赐教~


二维码

扫码加我 拉你入群

请注明:姓名-公司-职位

以便审核进群资格,未注明则拒绝

相关推荐
栏目导航
热门文章
推荐文章

说点什么

分享

扫码加好友,拉您进群
各岗位、行业、专业交流群