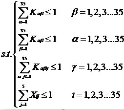
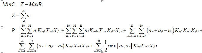
一个0-1规划的问题,写了整整一个下午结果跑出来每句都错实在无力了!!!求大神帮忙!!!!
晚上就要交了,截止到9:30~~

[img]file:///C:\Users\Administrator\AppData\Roaming\Tencent\Users\1024353371\QQ\WinTemp\RichOle\$`0X~JGD}CY4JJO~G{
G@MI6.jpg[/img][img]file:///C:\Users\Administrator\AppData\Roaming\Tencent\Users\1024353371\QQ\WinTemp\RichOle\$`0X~JGD}CY4JJO~G{
G@MI6.jpg[/img]