经管之家App
让优质教育人人可得
立即打开
全部版块
我的主页
›
论坛
›
计量经济学与统计论坛 五区
›
计量经济学与统计软件
›
LISREL、AMOS等结构方程模型分析软件
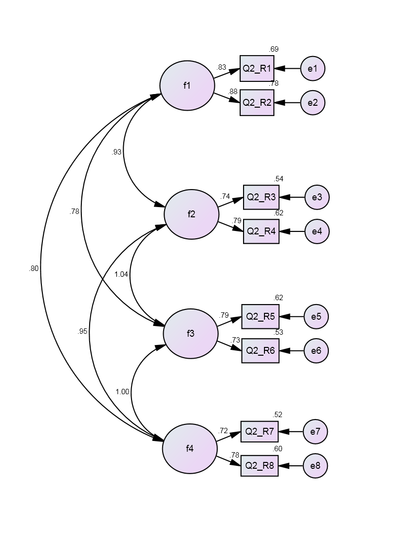
AMOS做出来的验证性因素分析,维度间的相关大于1,求指教!
楼主
wake_me_up
2173
0
收藏
2014-09-09
附件列表
真实型领导验证性因素分析.png
原图尺寸 90.58 KB
扫码加我 拉你入群
请注明:姓名-公司-职位
以便审核进群资格,未注明则拒绝
栏目导航
LISREL、AMOS等结构方程模型分析软件
经管高考
宏观经济学
经管文库(原现金交易版)
区域经济学
休闲灌水
热门文章
初等数学论丛 第3辑
2026六大未来产业发展趋势与人工智能八大落 ...
2025银行理财全景观察报告
A Course in Real Analysis (Textbooks in ...
【学习资料】零基础Python入门到精通(爬虫 ...
财报掘金
高观点下的初等数学概念+沈钢编著,2001
当AI遇见ML:高校教师如何借助AI与机器学习 ...
CDA 认证考试大纲 2025 重磅更新:一二级考 ...
AI Core产业营销思考
推荐文章
12月武汉站|Deepseek辅助论文写作与数据分 ...
2026JG学术冬训营:从Stata初高到Python机器 ...
关于如何利用文献的若干建议
关于学术研究和论文发表的一些建议
关于科研中如何学习基础知识的一些建议 (一 ...
一个自编的经济学建模小案例 --写给授课本科 ...
AI智能体赋能教学改革: 全国AI教育教学应用 ...
2025中国AIoT产业全景图谱报告-406页
关于文献求助的一些建议
几种免费下载文献的方法----我的文献应助经
说点什么
分享
微信
QQ空间
QQ
微博
扫码加好友,拉您进群
各岗位、行业、专业交流群