全部版块 我的主页
论坛 数据科学与人工智能 数据分析与数据科学 R语言论坛
11698 2
2014-10-10
对一个千年的时间序列进行谱分析,假设为timeseries[1:1000]
现在通过R语言中的spec.pgram包进行谱分析,参数不多,具体如下图:
11111.png
在R中我使用
ap=spec.pgram(timeseries[1:1000],detrend=T,plot=T)
进行绘图。

但是显著性检验的那条曲线如何添进去?这个软件包有提供自带的显著性检验吗?求有经验的大神指教。
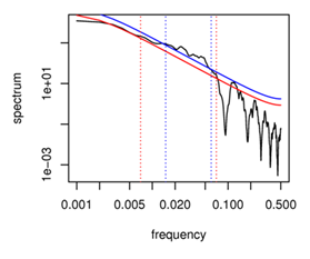
下图是我在读文献时找到的,我也希望有这样的效果:
2222.png

该图中黑线没话说就是频谱分析,红蓝线分别是95%置信度和99%置信度,我想把这两条线加上,请问如何分析。

提前谢过~

附加问题:

QQ截图20141010110308.png
上图中横轴处理的非常漂亮,重点强带0.001-0.1区间的信息,请问这种该如何画???
二维码

扫码加我 拉你入群

请注明:姓名-公司-职位

以便审核进群资格,未注明则拒绝

全部回复
2014-10-13 09:58:17
谱分析全用NCL实现了,坐标轴和显著性检验。放弃用R做谱分析了。
NCL谱分析的官网教程:
http://www.ncl.ucar.edu/Applications/spec.shtml
二维码

扫码加我 拉你入群

请注明:姓名-公司-职位

以便审核进群资格,未注明则拒绝

2015-3-23 17:16:58
再加两个plot就可以了
你看这个例子
http://www.inside-r.org/r-doc/stats/spec.pgram
二维码

扫码加我 拉你入群

请注明:姓名-公司-职位

以便审核进群资格,未注明则拒绝

相关推荐
栏目导航
热门文章
推荐文章

说点什么

分享

扫码加好友,拉您进群
各岗位、行业、专业交流群