全部版块 我的主页
论坛 数据科学与人工智能 数据分析与数据科学 SAS专版
1593 4
2014-10-28
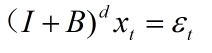
求助各位大神,这个模型叫什么名字?关于它的介绍有哪些资料?我各种找都找不到有关资料啊,对时间序列懂得多的大神麻烦指点下!非常感谢!最好能告诉我介绍这个模型的原始文献在哪里。。。


图片
QQ图片20141028202214.png
大小:(2.29 KB)

只需: 10 个论坛币  马上下载

二维码

扫码加我 拉你入群

请注明:姓名-公司-职位

以便审核进群资格,未注明则拒绝

全部回复
2014-10-28 20:39:35
你从哪找到的,,,,,,?
二维码

扫码加我 拉你入群

请注明:姓名-公司-职位

以便审核进群资格,未注明则拒绝

2014-10-29 11:08:46
向日葵教授 发表于 2014-10-28 20:39
你从哪找到的,,,,,,?
是我们老师让我们做的一个研究。
后来我直接问老师了,这个模型的名字叫做gegenbauer,本质上属于GARMA,在Gary Zhang Woodward的文章里有介绍。。。
大概是属于比较生僻的一个模型吧?关于它的介绍好像挺少的。。。
二维码

扫码加我 拉你入群

请注明:姓名-公司-职位

以便审核进群资格,未注明则拒绝

2014-10-29 11:09:17
向日葵教授 发表于 2014-10-28 20:39
你从哪找到的,,,,,,?
是我们老师让我们做的一个研究。
后来我直接问老师了,这个模型的名字叫做gegenbauer,本质上属于GARMA,在Gary Zhang Woodward的文章里有介绍。。。
大概是属于比较生僻的一个模型吧?关于它的介绍好像挺少的。。。
二维码

扫码加我 拉你入群

请注明:姓名-公司-职位

以便审核进群资格,未注明则拒绝

2014-10-29 11:12:37
百变小倩 发表于 2014-10-29 11:08
是我们老师让我们做的一个研究。
后来我直接问老师了,这个模型的名字叫做gegenbauer,本质上属于GARMA, ...
又学到新东西了,谢谢哈
二维码

扫码加我 拉你入群

请注明:姓名-公司-职位

以便审核进群资格,未注明则拒绝

相关推荐
栏目导航
热门文章
推荐文章

说点什么

分享

扫码加好友,拉您进群
各岗位、行业、专业交流群