全部版块 我的主页
论坛 世界经济与国际贸易 八区 世界经济与国际贸易
13278 10
2014-12-04
悬赏 10 个论坛币 已解决
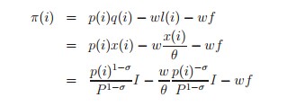
在Melitz模型中,为求得厂商的最优定价时,对利润函数π(i) = p(i)q(i) − wl(i) − wf 求导,其中q(i)用需求函数代入,如下 QQ图片2.jpg 其中为价格指数 QQ图片1.jpg

那为什么利润函数对价格求导时价格指数P不用对p(i)求导呢?话说价格指数P不是p(i)的函数吗?希望大家能予以解答,谢谢!








最佳答案

kiracheng 查看完整内容

好像有个假设是生产者是短视的,看不到自己定价行为对市场价格指数的影响。太久没看,不太记得了
二维码

扫码加我 拉你入群

请注明:姓名-公司-职位

以便审核进群资格,未注明则拒绝

全部回复
2014-12-4 16:35:38
好像有个假设是生产者是短视的,看不到自己定价行为对市场价格指数的影响。太久没看,不太记得了
二维码

扫码加我 拉你入群

请注明:姓名-公司-职位

以便审核进群资格,未注明则拒绝

2014-12-4 20:33:32
kiracheng 发表于 2014-12-4 19:49
好像有个假设是生产者是短视的,看不到自己定价行为对市场价格指数的影响。太久没看,不太记得了
这和“厂商太多,单个企业的定价对市场价格指数无关”等价吗?
二维码

扫码加我 拉你入群

请注明:姓名-公司-职位

以便审核进群资格,未注明则拒绝

2014-12-4 21:19:50
zhoumimismall 发表于 2014-12-4 20:33
这和“厂商太多,单个企业的定价对市场价格指数无关”等价吗?
类似。我记得张伯伦垄断竞争理论里面就有讨论这个。主观需求曲线与实际需求曲线
二维码

扫码加我 拉你入群

请注明:姓名-公司-职位

以便审核进群资格,未注明则拒绝

2014-12-8 02:11:12
zhoumimismall 发表于 2014-12-4 20:33
这和“厂商太多,单个企业的定价对市场价格指数无关”等价吗?
等价.
二维码

扫码加我 拉你入群

请注明:姓名-公司-职位

以便审核进群资格,未注明则拒绝

2014-12-8 18:24:09
zhoumimismall 发表于 2014-12-4 20:33
这和“厂商太多,单个企业的定价对市场价格指数无关”等价吗?
是这样的。在某篇文章中有解释,一是记不起来是那篇文章。
二维码

扫码加我 拉你入群

请注明:姓名-公司-职位

以便审核进群资格,未注明则拒绝

点击查看更多内容…
相关推荐
栏目导航
热门文章
推荐文章

说点什么

分享

扫码加好友,拉您进群
各岗位、行业、专业交流群