全部版块 我的主页
论坛 数据科学与人工智能 数据分析与数据科学 SPSS论坛
3736 13
2014-12-18
各位前辈好:           我利用logistic二元回归进行建模,分析结果如下:
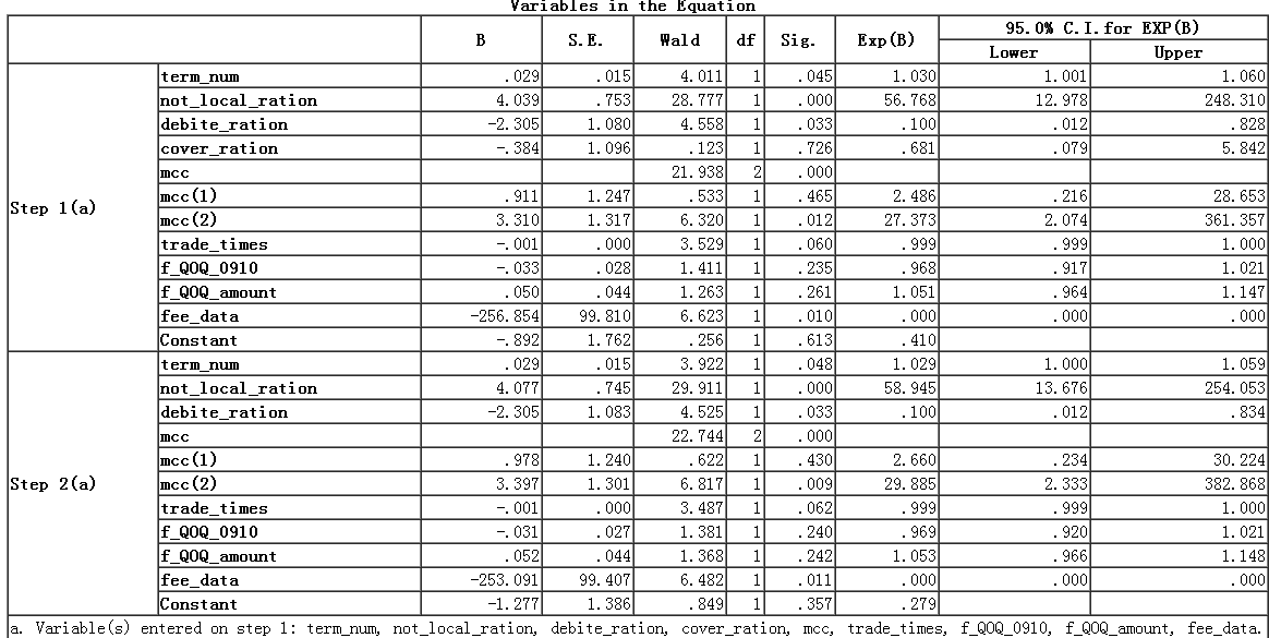
term_numnot_local_rationdebite_rationmcc(1)mcc(2)trade_timesf_QOQ_0910f_QOQ_amountfee_dataConstant
系数值

0.029

4.077

-2.305

0.978

3.397

-0.001

-0.031

0.052

-253.091

-1.277



其中的mcc我设置为哑变量、是不是回归方程也应该有三个,分别如下:
y1=-1.277+term_num*0.029+not_local_ration*4.077-debite_ration*2.305-trade_times*0.001-f_QOQ_0910*0.031+f_QOQ_amount*0.052;
y2=-1.277+term_num*0.029+not_local_ration*4.077-debite_ration*2.305-trade_times*0.001-f_QOQ_0910*0.031+f_QOQ_amount*0.052+mcc(1)*0.978;
y3=y2=-1.277+term_num*0.029+not_local_ration*4.077-debite_ration*2.305-trade_times*0.001-f_QOQ_0910*0.031+f_QOQ_amount*0.052+mcc(2)*3.397;


我想用如下的观察数据,带入上述方程中,手动计算该条数据的预测值。
具体计算过程如下,但是手动计算的预测值跟模型计算的预测值不一样,烦请前辈们指点。

term_numnot_local_rationdebite_rationmcctrade_timesf_QOQ_0910f_QOQ_amountfee_dataPL(预测值)
观察数据

3

0.48421

0.49264

2

272

-0.04477

-0.27216

0.007

0.908358



因为mcc=2, 我是将数据带入y3里面的。
log(p/(1-p))=m;
m=1.277+3*0.029+0.48421*4.077-0.49264*2.305-272*0.001-0.04477*0.031+0.27216*0.052+*3.397=0.989188
p/(1-p)=exp(0.989188)=2.689049
p=2.689049/(1+2.689049)=0.728927
但是0.728927!=0.908358, 不知道哪里出错了,求解释!!!!

附件列表
1.png

原图尺寸 25.41 KB

分析结果

分析结果

2.png

原图尺寸 25.17 KB

2.png

QQ截图20141218161825.png

原图尺寸 25.22 KB

QQ截图20141218161825.png

二维码

扫码加我 拉你入群

请注明:姓名-公司-职位

以便审核进群资格,未注明则拒绝

全部回复
2014-12-18 17:44:58
建议你看一下,MCC的参考值是多少,也许你应该代的函数是Y2,而不是Y3
二维码

扫码加我 拉你入群

请注明:姓名-公司-职位

以便审核进群资格,未注明则拒绝

2014-12-18 20:28:36
liudeng2005 发表于 2014-12-18 17:44
建议你看一下,MCC的参考值是多少,也许你应该代的函数是Y2,而不是Y3
你好,mcc 分为0,1,2 。 基础水平为0 。是不是应该代入Y3? 谢谢。
二维码

扫码加我 拉你入群

请注明:姓名-公司-职位

以便审核进群资格,未注明则拒绝

2014-12-19 10:23:37
其实不需要把mcc重新换成1和2代入模型。而且楼主的转化有个疏忽:在模型里面(0,1,2)之间也存在一个比例,你带入的应该也是 exp(p/1-p)而不是直接代入1或者2,所以得到的数值肯定是不一样的
二维码

扫码加我 拉你入群

请注明:姓名-公司-职位

以便审核进群资格,未注明则拒绝

2014-12-19 10:48:04
liudeng2005 发表于 2014-12-18 17:44
建议你看一下,MCC的参考值是多少,也许你应该代的函数是Y2,而不是Y3
前面的截距好像是负的1.277,所以计算可能有误,但我算过了,考虑这个之后,还是不对。
二维码

扫码加我 拉你入群

请注明:姓名-公司-职位

以便审核进群资格,未注明则拒绝

2014-12-19 11:04:44
感觉你的计算应该是没有错误的。

不知道问题出在了哪里!

如果你解决了问题,请广而告之!谢谢!
二维码

扫码加我 拉你入群

请注明:姓名-公司-职位

以便审核进群资格,未注明则拒绝

点击查看更多内容…
相关推荐
栏目导航
热门文章
推荐文章

说点什么

分享

扫码加好友,拉您进群
各岗位、行业、专业交流群