经管之家App
让优质教育人人可得
立即打开
全部版块
我的主页
›
论坛
›
经济学人 二区
›
教师之家与经管教育
谁能帮我看一下下面的问题
楼主
shenaiwo
971
0
收藏
2014-12-24
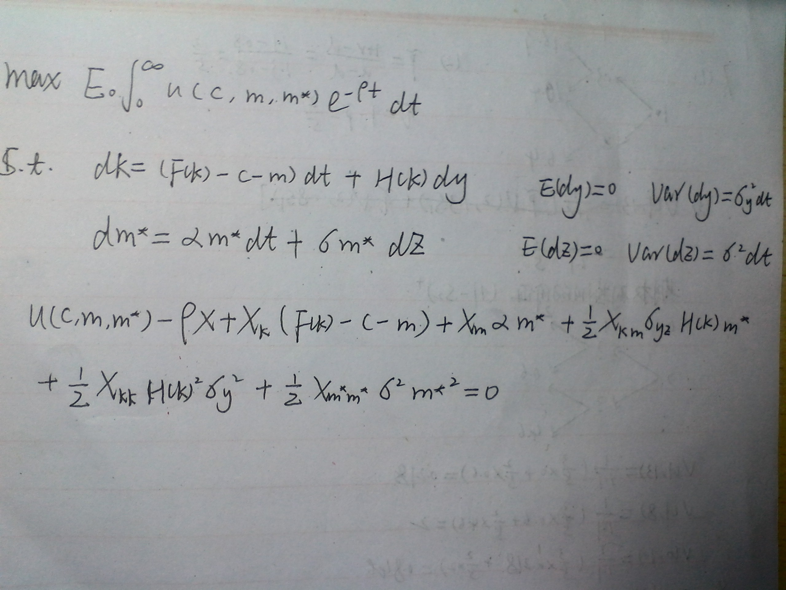
谁帮我解释一下方程中的二阶偏导项,我看了好久没看懂啊
附件列表
U%ZI45B)0_%{4}UXO@JFT[H.jpg
原图尺寸 168.74 KB
扫码加我 拉你入群
请注明:姓名-公司-职位
以便审核进群资格,未注明则拒绝
栏目导航
教师之家与经管教育
市场行情分析
金融实务版
休闲灌水
经管高考
经管文库(原现金交易版)
热门文章
表格结构数据特征与CDA数据分析师:精准适配 ...
新宏观丨豆包,传统经济学与商学对全球性债 ...
几何(第五卷)[法] M. 贝尔热
几何(第四卷)[法] M. 贝尔热
奇瑞QQ焕新归来
CDA数据分析脱产就业班于2026年3月7日开班! ...
表格结构数据的核心特征及具象实例解析
湖南统计年鉴2025(Excel版)
中外历史年代对照表
高效办公—Word零基础教程
推荐文章
2026JG学术冬训营:从Stata初高到Python机器 ...
【必看】【本版版规,欢迎发悬赏贴求助】
26年寒假天津站|Gemini论文写作&数据分析 ...
关于如何利用文献的若干建议
关于学术研究和论文发表的一些建议
关于科研中如何学习基础知识的一些建议 (一 ...
一个自编的经济学建模小案例 --写给授课本科 ...
AI智能体赋能教学改革: 全国AI教育教学应用 ...
2025中国AIoT产业全景图谱报告-406页
关于文献求助的一些建议
说点什么
分享
微信
QQ空间
QQ
微博
扫码加好友,拉您进群
各岗位、行业、专业交流群