全部版块 我的主页
论坛 计量经济学与统计论坛 五区 计量经济学与统计软件 EViews专版
5832 1
2015-01-08
带有约束条件的eviews回归,跪求大神告知如何完成
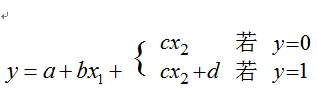
如图[img=0,1]file:///C:\Users\Administrator\AppData\Roaming\Tencent\Users\670989356\QQ\WinTemp\RichOle\)[D1(3M$CNLF82J_OG_MB_S.png[/img] 1.png

做以上回归,带有后面的限制条件,在该模型中x1,x2均已知,y要么等于1,要么等于0

要回归算出系数a b c d。eviews如何完成 谢谢。


二维码

扫码加我 拉你入群

请注明:姓名-公司-职位

以便审核进群资格,未注明则拒绝

全部回复
2015-1-9 11:32:05
先对样本进行分类处理(y=1,y=0),再分别做相应回归即可.
二维码

扫码加我 拉你入群

请注明:姓名-公司-职位

以便审核进群资格,未注明则拒绝

相关推荐
栏目导航
热门文章
推荐文章

说点什么

分享

扫码加好友,拉您进群
各岗位、行业、专业交流群