经管之家App
让优质教育人人可得
立即打开
全部版块
我的主页
›
论坛
›
提问 悬赏 求职 新闻 读书 功能一区
›
经管百科
›
爱问频道
高级微观经济理论一般均衡
楼主
dr_lmj
1433
1
收藏
2015-01-11
悬赏
2
个论坛币
未解决
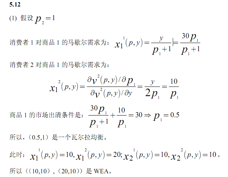
图中12、13题,出自杰里瑞尼《高级微观经济理论》195页一般均衡理论。请写出详细答案
另外,商品1的马歇尔需求函数是怎么得出的?
谢谢~
1.png
原图尺寸 64.49 KB
0111_1.jpg
原图尺寸 1.79 MB
问题
扫码加我 拉你入群
请注明:姓名-公司-职位
以便审核进群资格,未注明则拒绝
全部回复
沙发
dr_lmj
2015-1-11 15:58:20
自己顶个。。。。
扫码加我 拉你入群
请注明:姓名-公司-职位
以便审核进群资格,未注明则拒绝
相关推荐
高级微观经济理论(杰弗里和瑞尼编)上财03版
[下载]杰里&瑞尼的《高级微观经济理论(英文版)》
高级微观经济理论 中文答案
高级微观经济理论(英文版)杰里、瑞尼
高级微观经济理论——杰弗里·A·杰里、菲利普·J·瑞尼版
关于人大版的高级微观经济理论的理解
高级微观经济理论的后花园
高级微观经济理论(第三版)杰弗里.A.杰奥,非利普..J瑞尼著,曹乾译
杰弗里高级微观经济理论中链式法则
杰弗瑞-A-杰里-高级微观经济理论 第3版
栏目导航
爱问频道
经管文库(原现金交易版)
真实世界经济学(含财经时事)
论文版
休闲灌水
经管高考
热门文章
2026全球数智化人才指数报告【CDA数据科学研 ...
2025年全球影响力报告
AI对话与消费决策研究报告(2026Q1)—教育 ...
从华夏到中国(刘仲敬)
交易行为的心理偏差
当Stata遇上 AI 智能体:你的实证研究,正在 ...
相对于Harness这个词,我更钟情控制论:从控 ...
CDA 认证考试大纲 2025 重磅更新:一二级考 ...
CDA数据分析脱产就业班在2026年3月7日开班了 ...
系统管理学报编辑部初审超期?
推荐文章
【文献求助专区】版主工作备用贴
五一充电,学术突围!四大AI赋能王牌课程, ...
关于学术研究和论文发表的一些建议
几种免费下载文献的方法----我的文献应助经
【必看】【本版版规,欢迎发悬赏贴求助】
【新课】26年3月|Gemini辅助论文写作与数据 ...
关于如何利用文献的若干建议
关于科研中如何学习基础知识的一些建议 (一 ...
一个自编的经济学建模小案例 --写给授课本科 ...
AI智能体赋能教学改革: 全国AI教育教学应用 ...
说点什么
分享
微信
QQ空间
QQ
微博
扫码加好友,拉您进群
各岗位、行业、专业交流群