经管之家App
让优质教育人人可得
立即打开
全部版块
我的主页
›
论坛
›
数据科学与人工智能
›
数据分析与数据科学
›
MATLAB等数学软件专版
多周期蒙特卡罗模拟,是每一期都要重新生成随机数吗?
楼主
Mr.Ma
1239
1
收藏
2015-01-26
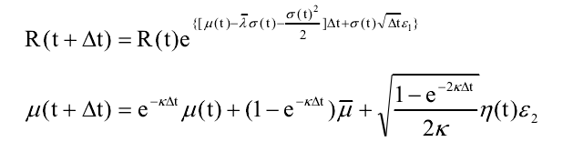
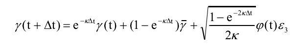
看别人文献,有三个离散变量值,如下图所示:
若R(t)、μ(t)、γ(t)进行10个周期的蒙特卡罗模拟模拟,其中ε1、ε2、ε3为随机数, 则ε1、ε2、ε3是应该每一周期重新生成随机数,还是每期用同一组三个值?
求大神指导
菜鸟没人指导,恼火啊
扫码加我 拉你入群
请注明:姓名-公司-职位
以便审核进群资格,未注明则拒绝
全部回复
沙发
Mr.Ma
2015-1-27 16:35:00
求大神
扫码加我 拉你入群
请注明:姓名-公司-职位
以便审核进群资格,未注明则拒绝
相关推荐
金融中的蒙特卡罗模拟
求利用SAS进行蒙特卡罗模拟的资料
蒙特卡罗模拟的问题
求助:请问怎样用水晶球做蒙特卡罗模拟
水晶球软件——蒙特卡罗模拟
蒙特卡罗模拟和金融
蒙特卡罗模拟 已知概率分布,如何生成随机数
蒙特卡罗模拟 已知概率分布,如何生成随机数
圆周率PAI的蒙特卡罗模拟生成代码
蒙特卡罗模拟产生50 个均值为0的独立同分布的随机数
栏目导航
MATLAB等数学软件专版
新手入门区
真实世界经济学(含财经时事)
R语言论坛
stata专版
行业分析报告
热门文章
展望2026:学术智能体即将崛起?
CDA数据分析脱产就业班于2025年12月08日开班 ...
初等数学论丛+第8辑
项目介绍 MATLAB实现基于DTW-GPR 动态时间规 ...
数字消费蓝皮书(2025年) 20251229
【多指标】2001-2024年上市公司企业供应链风 ...
【顶刊多指标】2000-2024年上市公司企业股票 ...
CDA数据分析师实战:指标体系搭建的全流程方 ...
CDA数据分析师:以数据思维赋能企业管理,驱 ...
CDA全国考点信息一览(更新于2025年12月10日 ...
推荐文章
12月武汉站|Deepseek辅助论文写作与数据分 ...
2026JG学术冬训营:从Stata初高到Python机器 ...
关于如何利用文献的若干建议
关于学术研究和论文发表的一些建议
关于科研中如何学习基础知识的一些建议 (一 ...
一个自编的经济学建模小案例 --写给授课本科 ...
AI智能体赋能教学改革: 全国AI教育教学应用 ...
2025中国AIoT产业全景图谱报告-406页
关于文献求助的一些建议
几种免费下载文献的方法----我的文献应助经
说点什么
分享
微信
QQ空间
QQ
微博
扫码加好友,拉您进群
各岗位、行业、专业交流群