全部版块 我的主页
论坛 数据科学与人工智能 数据分析与数据科学 R语言论坛
1402 4
2015-02-02
能否指导一下用R如何实现附件中文献中的方法?给提供一下实现的思路也可以?欢迎指导!非常感谢!
附件列表
二维码

扫码加我 拉你入群

请注明:姓名-公司-职位

以便审核进群资格,未注明则拒绝

全部回复
2015-2-2 14:32:42
表示关注
Additive biomass equations for native eucalypt forest trees of temperate Australia
二维码

扫码加我 拉你入群

请注明:姓名-公司-职位

以便审核进群资格,未注明则拒绝

2015-2-2 15:11:43
tmdxyz 发表于 2015-2-2 14:32
表示关注
Additive biomass equations for native eucalypt forest trees of temperate Australia
谢谢关注!你也做这方面研究吗?
二维码

扫码加我 拉你入群

请注明:姓名-公司-职位

以便审核进群资格,未注明则拒绝

2015-2-3 08:41:50
你能把问题说的清楚点吗?
二维码

扫码加我 拉你入群

请注明:姓名-公司-职位

以便审核进群资格,未注明则拒绝

2015-2-3 09:40:32
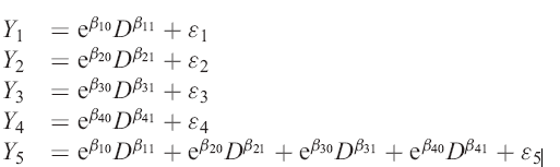
where Y1 to Y5 represent stem wood, stem bark, branch,leaf and total tree biomass in kg, respectively, D represents overbark diameter at breast height (1.3 m) in cm, βij are coefficients.
用这个公式拟合,用R实现是用你这个程序实现吗?
library( systemfit )
rd<-read.csv("sysfit_123.csv")
STEM.formula<-STEM~ a1*DBH^b1/( a1*DBH^b1+ a2*DBH^b2+ a3*DBH^b3+ a4*DBH^b4+ a5*DBH^b5)* (a0*DBH^b0)
SKIN.formula<-SKIN~ a2*DBH^b2/( a1*DBH^b1+ a2*DBH^b2+ a3*DBH^b3+ a4*DBH^b4+ a5*DBH^b5)* (a0*DBH^b0)
LEAF.formula<-LEAF~ a3*DBH^b3/( a1*DBH^b1+ a2*DBH^b2+ a3*DBH^b3+ a4*DBH^b4+ a5*DBH^b5)* (a0*DBH^b0)
BRANCH.formula<-BRANCH~ a4*DBH^b4/( a1*DBH^b1+ a2*DBH^b2+ a3*DBH^b3+ a4*DBH^b4+ a5*DBH^b5)* (a0*DBH^b0)
UNDER.formula<-UNDER~ a5*DBH^b5/( a1*DBH^b1+ a2*DBH^b2+ a3*DBH^b3+ a4*DBH^b4+ a5*DBH^b5)* (a0*DBH^b0)
TOTAL.formula<-UNDER~ (a0*DBH^b0)^2/( a1*DBH^b1+ a2*DBH^b2+ a3*DBH^b3+ a4*DBH^b4+ a5*DBH^b5)
labels <- list( " STEM.formula ", " SKIN.formula ", " LEAF.formula ", " BRANCH.formula ",
                 " UNDER.formula ", " TOTAL.formula ")
inst <- ~ DBH+STEM+SKIN+LEAF+BRANCH+UNDERL+TOTAL
start.values <- c(a0=4.156704e-02,b0= 2.785912e+00,a1=4.978067e-01,b1=6.936570e+00,a2=2.239998e-02,b2=3.479641e+00,
                   a3=6.343405e-02,b3=1.741423e+00,a4=6.618161e-09,b4=1.189588e+00 ,a5=3.245551e-02,b5=7.341656e+00)
model<-list(STEM.formula,SKIN.formula,LEAF.formula,BRANCH.formula,UNDER.formula, TOTAL.formula)
model.ols <- nlsystemfit( "OLS", model, start.values, data=rd, eqnlabels=labels )
model.ols

附件列表
1.png

原图尺寸 11.02 KB

1.png

1.png

原图尺寸 11.02 KB

1.png

二维码

扫码加我 拉你入群

请注明:姓名-公司-职位

以便审核进群资格,未注明则拒绝

相关推荐
栏目导航
热门文章
推荐文章

说点什么

分享

扫码加好友,拉您进群
各岗位、行业、专业交流群