经管之家App
让优质教育人人可得
立即打开
全部版块
我的主页
›
论坛
›
计量经济学与统计论坛 五区
›
计量经济学与统计软件
›
LISREL、AMOS等结构方程模型分析软件
AMOS模型无法运行XX:Default model.
楼主
︶ㄣ鉲布奇諾
4436
4
收藏
2015-03-06
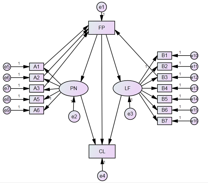
求助各位小伙伴,我画的模型如下,目前是可以运行的。
但是一旦增加B1→FP、B2→FP、B4→FP的路径后,就会变成XX:Default model.
所有数据都是经过检验的,毕业论文瓶颈期,在线急求解答、求高手指教~~~~
扫码加我 拉你入群
请注明:姓名-公司-职位
以便审核进群资格,未注明则拒绝
全部回复
沙发
徐长青
2015-3-6 14:08:22
bd{:3_41:}
扫码加我 拉你入群
请注明:姓名-公司-职位
以便审核进群资格,未注明则拒绝
藤椅
︶ㄣ鉲布奇諾
2015-3-6 14:10:54
自顶~~~求高手指教呜呜呜
扫码加我 拉你入群
请注明:姓名-公司-职位
以便审核进群资格,未注明则拒绝
板凳
南南数据
2015-3-6 16:28:13
主要是因为递归关系吧,可以帮您看看。
扫码加我 拉你入群
请注明:姓名-公司-职位
以便审核进群资格,未注明则拒绝
报纸
不知所终5
2018-5-17 10:15:17
想问楼主最后问题解决了么~
扫码加我 拉你入群
请注明:姓名-公司-职位
以便审核进群资格,未注明则拒绝
相关推荐
求助!为什么amos模型总是default model??
请问:这个模型有问题吗?
XX:default model 为什么不出系数呢?
Amos 没有出现default model
求问AMOS,出现XX:default model
AMOS default model显示XX
新人求救!AMOS无法计算模型~XX:default model
AMOS 模型xx default model
Amos出现default model
amos总是显示default model
栏目导航
LISREL、AMOS等结构方程模型分析软件
麦田创投
经管高考
经管文库(原现金交易版)
外文文献专区
经济金融数学专区
热门文章
2026年Stata初高级寒假班—AI赋能+原理+操作 ...
CDA数据分析脱产就业班于2025年12月08日开班 ...
现代数学译丛29整数分拆,(美)GeorgeE.And ...
广西板材十大品牌香德里国际:以环保科技, ...
【24重磅,顶刊方法!】2010-2024上市公司供应 ...
《预测之书 1000天后的世界》(罗振宇)-59 ...
一文了解11种最常见的机器学习算法应用场景
CDA数据分析师核心实战:数据整合的价值、流 ...
CDA 认证考试大纲 2025 重磅更新:一二级考 ...
CDA数据分析脱产就业班于2025年12月08日开班 ...
推荐文章
26年寒假天津站|Gemini论文写作&数据分析 ...
2026JG学术冬训营:从Stata初高到Python机器 ...
关于如何利用文献的若干建议
关于学术研究和论文发表的一些建议
关于科研中如何学习基础知识的一些建议 (一 ...
一个自编的经济学建模小案例 --写给授课本科 ...
AI智能体赋能教学改革: 全国AI教育教学应用 ...
2025中国AIoT产业全景图谱报告-406页
关于文献求助的一些建议
几种免费下载文献的方法----我的文献应助经
说点什么
分享
微信
QQ空间
QQ
微博
扫码加好友,拉您进群
各岗位、行业、专业交流群