全部版块 我的主页
论坛 经济学论坛 三区 微观经济学 经济金融数学专区
2241 0
2015-03-26
老师课堂留下的思考题是:
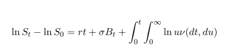
8. Assuming the stock price is driven by a mixed Poisson-Brownian motion with stock return
to be given by

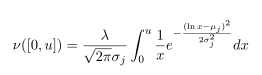
with Levy measure to be given by

Let r = 8%,σ = 12%,μ j = 0,σ j = 10%,λ = 1,S 0 = 100.
(a) Generate a sample path for the stock price process S t on [0,3].
(b) Compute E[S t ], V ar(S t ) and the m.g.f. for S t .
(c) Compute E[(100 − S T ) + ],T = 3. (Using Monte Carlo simulation, and write down
the computer code)
(d) What is the probability for the stock price to exceed 105 at time 3? (Using Monte
Carlo simulation, and write down the computer code)
二维码

扫码加我 拉你入群

请注明:姓名-公司-职位

以便审核进群资格,未注明则拒绝

相关推荐
栏目导航
热门文章
推荐文章

说点什么

分享

扫码加好友,拉您进群
各岗位、行业、专业交流群