全部版块 我的主页
论坛 提问 悬赏 求职 新闻 读书 功能一区 经管百科 爱问频道
834 0
2015-04-09
悬赏 1 个论坛币 未解决

附上参考仿写的论文

QQ图片20150409084957.png

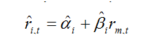
根据模型 QQ图片20150409085228.png ,其中 QQ图片20150409085238.png 我理解为是每个公司股票的日收益率, QQ图片20150409085246.png 对应的是当天的大盘指数收益率。

疑问1

时间里有3个,公告日——增发日——上市日(依次顺序),文中提到,用增发事件日前两年的股票数据,问题是这个增发事件日指的是第几个(公告日,增发日,还是上市日)?,因为公告日往前2年,增发日往前2年或者是上市日的数据样本是不一样的呢。这里不知道要怎么处理。


疑问2

  一个公司日对应一个当天大盘,但是每家公司事件日的日期不同,那么要对应也不同,那么所有的公司样本,我怎么样才可以在一张数据表里拟合出来?

比如300058,公告日(增发事件日)是2012419日,往前两年就是2010419日,但是300010年高高日是2012618日,往前就是2010618日,对应的大盘指数并不一样,不能混在一张表里拟合,这又怎么处理呢?



===========================================================================

小妹的毕业论文写不下去了,跪求大神指导。



二维码

扫码加我 拉你入群

请注明:姓名-公司-职位

以便审核进群资格,未注明则拒绝

相关推荐
栏目导航
热门文章
推荐文章

说点什么

分享

扫码加好友,拉您进群
各岗位、行业、专业交流群