全部版块 我的主页
论坛 经济学论坛 三区 微观经济学 经济金融数学专区
1902 10
2015-04-20
数分答疑
附件列表
QQ截图20150420202809.png

原图尺寸 6.07 KB

QQ截图20150420202809.png

二维码

扫码加我 拉你入群

请注明:姓名-公司-职位

以便审核进群资格,未注明则拒绝

全部回复
2015-4-20 20:44:05
1共4道
二维码

扫码加我 拉你入群

请注明:姓名-公司-职位

以便审核进群资格,未注明则拒绝

2015-4-20 23:42:28
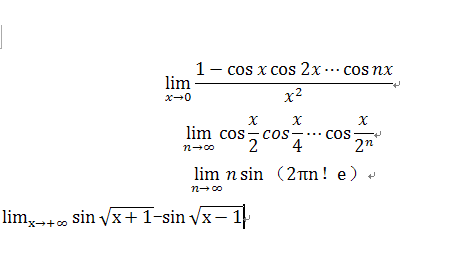
这些题都是极限中很技巧的题。
试解第二题:分子分母同乖以\[2\sin \frac{x}{2^{n}}\]
                                        \[=\frac{2\sin \frac{x}{2^{n}}\cos \frac{x}{2}\cos \frac{x}{4}....\cos \frac{x}{2^{n}}}{2\sin \frac{x}{2^{n}}}\]
                                       \[=\frac{\sin x}{2^{n}\sin \frac{x}{2^{n}}}\]



再求极限,\[\rightarrow \frac{\sin x}{x}\left ( n \to \propto \right )\]
二维码

扫码加我 拉你入群

请注明:姓名-公司-职位

以便审核进群资格,未注明则拒绝

2015-4-21 10:15:59
继续发言,还有3道
二维码

扫码加我 拉你入群

请注明:姓名-公司-职位

以便审核进群资格,未注明则拒绝

2015-4-21 15:31:30
第4题试解:\[\sin \sqrt{x+1}-\sin \sqrt{x-1}=2\cos \frac{\sqrt{x+1}+\sqrt{x-1}}{2}\sin \frac{\sqrt{x+1}-\sqrt{x-1}}{2}\]
             因为 cos()为一有界量。所以考虑sin()在\[x\rightarrow \infty \]明的值
             \[\sin \frac{\sqrt{x+1}-\sqrt{x-1}}{2}=\sin \frac{2}{2\left ( \sqrt{x+1} +\sqrt{x-1}\right )}\sim \frac{1}{\sqrt{x+1}+\sqrt{x-1}},\left ( x\rightarrow \infty \right )\]
             原式=2*有界量*无帘小量=0,\[\left ( x\rightarrow \infty \right )\]
二维码

扫码加我 拉你入群

请注明:姓名-公司-职位

以便审核进群资格,未注明则拒绝

2015-4-21 15:53:48
真不好意思,我觉得这悬不悬赏意义也不大了。
二维码

扫码加我 拉你入群

请注明:姓名-公司-职位

以便审核进群资格,未注明则拒绝

点击查看更多内容…
栏目导航
热门文章
推荐文章

说点什么

分享

扫码加好友,拉您进群
各岗位、行业、专业交流群