全部版块 我的主页
论坛 提问 悬赏 求职 新闻 读书 功能一区 悬赏大厅
3062 3
2015-05-03
悬赏 100 个论坛币 未解决
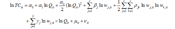
请问超越对数成本函数中交互项是啥意思?这个交互项是咋来的?请详细告知



QQ图片20150503220337.png

原图尺寸 4.29 KB

超越对数成本函数

超越对数成本函数

二维码

扫码加我 拉你入群

请注明:姓名-公司-职位

以便审核进群资格,未注明则拒绝

全部回复
2015-9-18 11:30:48
它提供了一个灵活的函数形式允许输入不同的部分之间的替代弹性
二维码

扫码加我 拉你入群

请注明:姓名-公司-职位

以便审核进群资格,未注明则拒绝

2017-3-13 21:20:12
王佳楠 发表于 2015-9-18 11:30
它提供了一个灵活的函数形式允许输入不同的部分之间的替代弹性
那在A变量和B变量系数正负相反时,交互项系数该如何解释呢?
二维码

扫码加我 拉你入群

请注明:姓名-公司-职位

以便审核进群资格,未注明则拒绝

2018-4-14 21:18:04
王佳楠 发表于 2015-9-18 11:30
它提供了一个灵活的函数形式允许输入不同的部分之间的替代弹性
楼主弄明白了吗,我还搞不懂超越对数成本函数约束条件到底有哪些,能解释下吗
二维码

扫码加我 拉你入群

请注明:姓名-公司-职位

以便审核进群资格,未注明则拒绝

相关推荐
栏目导航
热门文章
推荐文章

说点什么

分享

扫码加好友,拉您进群
各岗位、行业、专业交流群