全部版块 我的主页
论坛 数据科学与人工智能 数据分析与数据科学 MATLAB等数学软件专版
3599 5
2015-05-15
function DEA.docx
大小:(14.49 KB)

只需: 8 个论坛币  马上下载


传统DEA不具有指标限制,这个程序是提供指标限制的模型
收费的原因是我经常要求助QAQ
谢谢

二维码

扫码加我 拉你入群

请注明:姓名-公司-职位

以便审核进群资格,未注明则拒绝

全部回复
2015-5-15 10:36:00
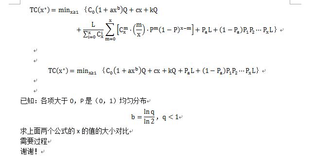
因为发不上公式,放在附件中,求能帮忙的大神QAQ

PS :这只是个数学公式,并不是 捕获.JPG 编程的问题
而且这个公式也和DEA无关QAQ
只是我作为数学渣解不出来

附件列表

公式.docx

大小:11.58 KB

 马上下载

二维码

扫码加我 拉你入群

请注明:姓名-公司-职位

以便审核进群资格,未注明则拒绝

2015-5-15 15:23:43
我也有个解带偏好锥的dea模型的matlab代码,但是这个代码里是输入锥和输出锥都有的,我要解的模型没有输出锥,只需要输入锥,不知道该怎么修改。。。你要是需要的话可以交流一下 qq826748262
二维码

扫码加我 拉你入群

请注明:姓名-公司-职位

以便审核进群资格,未注明则拒绝

2015-5-15 15:24:33
lcr0741 发表于 2015-5-15 15:23
我也有个解带偏好锥的dea模型的matlab代码,但是这个代码里是输入锥和输出锥都有的,我要解的模型没有输出锥 ...
这只是个数学公式,我需要的不是程序,QAQ
二维码

扫码加我 拉你入群

请注明:姓名-公司-职位

以便审核进群资格,未注明则拒绝

2015-5-15 15:27:29
Icy_silence 发表于 2015-5-15 15:24
这只是个数学公式,我需要的不是程序,QAQ
你有借这个模型的matlab代码吗,,求给我看看,我也不会解。。。
二维码

扫码加我 拉你入群

请注明:姓名-公司-职位

以便审核进群资格,未注明则拒绝

2016-1-29 19:40:19
这个为什么调不出来啊
二维码

扫码加我 拉你入群

请注明:姓名-公司-职位

以便审核进群资格,未注明则拒绝

相关推荐
栏目导航
热门文章
推荐文章

说点什么

分享

扫码加好友,拉您进群
各岗位、行业、专业交流群