经管之家App
让优质教育人人可得
立即打开
全部版块
我的主页
›
论坛
›
经济学论坛 三区
›
区域经济学
请教:安虎森《区域经济学》2004版,古诺纳什均衡公式推导问题
楼主
xiehbpku
1719
0
收藏
2015-05-21
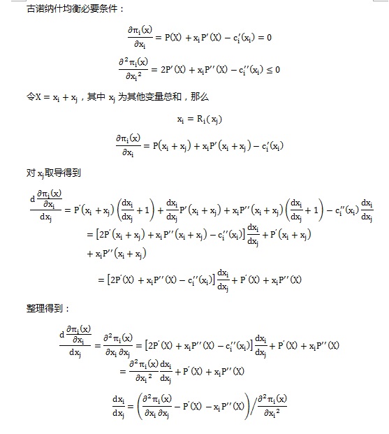
请问,安虎森是怎么推导出式(2.9)的?
下面是我的推导过程,找不出问题呢。
请高手赐教!
扫码加我 拉你入群
请注明:姓名-公司-职位
以便审核进群资格,未注明则拒绝
相关推荐
[求助]想考人大的区域经济学
对于只学过区域经济学这门基础课的同学,应该补充那些知识~
[求助]区域经济学开题和就业?????
请教:区域经济学的就业方向
新区域经济学中关于聚集力和分散力问题
求区域经济学相关的一些杂志或报刊类
区域经济学教程 重点资料整理
区域经济学指标求指导~
求区域经济学之父的 区域分析法这本书
灯光数据
栏目导航
区域经济学
行业分析报告
经管类求职与招聘
会计与财务管理
金融类
求助成功区
热门文章
Token经济学全景报告
2025供应链依赖的选择与挑战报告
好书分享-《图灵传:时代的拓荒者》
【重磅,24更新!】2012-2025我国社会融资规 ...
OpenClaw+Claude Code丨从"手动科研"到 ...
OpenClaw vs Hermes:一文深入理解两大通用 ...
CDA数据分析脱产就业班在2026年3月7日开班了 ...
CDA 认证考试大纲 2025 重磅更新:一二级考 ...
从数据源头到商业洞察:CDA数据分析师视角下 ...
斯坦福2026报告:中国AI模型追上美国(英)-4 ...
推荐文章
五一充电,学术突围!四大AI赋能王牌课程, ...
关于学术研究和论文发表的一些建议
几种免费下载文献的方法----我的文献应助经
【必看】【本版版规,欢迎发悬赏贴求助】
【新课】26年3月|Gemini辅助论文写作与数据 ...
关于如何利用文献的若干建议
关于科研中如何学习基础知识的一些建议 (一 ...
一个自编的经济学建模小案例 --写给授课本科 ...
AI智能体赋能教学改革: 全国AI教育教学应用 ...
2025中国AIoT产业全景图谱报告-406页
说点什么
分享
微信
QQ空间
QQ
微博
扫码加好友,拉您进群
各岗位、行业、专业交流群