全部版块 我的主页
论坛 数据科学与人工智能 数据分析与数据科学 Excel
4460 6
2015-05-24
悬赏 10 个论坛币 未解决

帮忙看一下excel回归之后这个图怎么分析,我有一个自变量两个因变量,分别分析的,看自变量对第一个因变量是否产生影响,然后自变量对第二个因变量是否产生影响,这样分析可以吗?大神帮我解释图中哪些数据可以说明问题,自变量对因变量影响到底大不大,显著性从哪看出来?谢谢!

二维码

扫码加我 拉你入群

请注明:姓名-公司-职位

以便审核进群资格,未注明则拒绝

全部回复
2015-5-24 20:12:13
搜狗截图15年05月24日2000_1.png
附件列表
二维码

扫码加我 拉你入群

请注明:姓名-公司-职位

以便审核进群资格,未注明则拒绝

2015-5-24 20:19:59
不知道图片可不可以看到,不太会发,添加了附件,求大神帮忙
二维码

扫码加我 拉你入群

请注明:姓名-公司-职位

以便审核进群资格,未注明则拒绝

2015-5-24 23:28:59
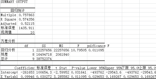
1. 模型的显著性看方差分析的F检验结果
2. 系数的显著性看t检验结果,从图里面的自变量X对应的t统计量为-1.178,p值为0.273,高于0.05,意味着在5%显著性水平下,X对Y没有显著性影响。
二维码

扫码加我 拉你入群

请注明:姓名-公司-职位

以便审核进群资格,未注明则拒绝

2015-5-25 09:10:16
coral033 发表于 2015-5-24 23:28
1. 模型的显著性看方差分析的F检验结果
2. 系数的显著性看t检验结果,从图里面的自变量X对应的t统计量为-1 ...
F检验结果怎么看呢?
第一张图P值0.011代表变量有显著影响,第二张图P值0.275代表变量没有显著性影响,是这样吗?
二维码

扫码加我 拉你入群

请注明:姓名-公司-职位

以便审核进群资格,未注明则拒绝

2015-5-25 10:45:38
蓝色天空 发表于 2015-5-25 09:10
F检验结果怎么看呢?
第一张图P值0.011代表变量有显著影响,第二张图P值0.275代表变量没有显著性影响,是 ...
你这里面有2个回归的结果,第一个回归结果中F检验和t检验(截距和X的系数都是显著的,因为p值都小于0.05),第二个回归模型中,则F和t检验都不显著。
二维码

扫码加我 拉你入群

请注明:姓名-公司-职位

以便审核进群资格,未注明则拒绝

点击查看更多内容…
相关推荐
栏目导航
热门文章
推荐文章

说点什么

分享

扫码加好友,拉您进群
各岗位、行业、专业交流群