全部版块 我的主页
论坛 提问 悬赏 求职 新闻 读书 功能一区 经管百科 爱问频道
4190 1
2015-06-02

什么是HJM模型_HJM模型的分析方法_HJM模型的缺陷是什么


什么是HJM模型


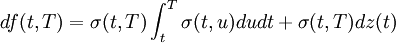
  HJM(Heath-Jarrow-Morton)模型由赫斯(Heath)、加罗(Jarrow)和墨顿(Morton)在1992年提出,T 时刻瞬时远期利率f(t,T)的变化服从:


   04.png



  因此整个模型估计的参数只有一个,即波动性,而且这个波动性不会随着测度的变化而 变化。


HJM模型的分析方法


  HJM 模型的主要方法是无套利分析法,即在n个因子风险模型下,可以通过一个无风险资产和n个风险资产的组合构造资产市场上的所有资产。



  给定债券波动率的期限结构,就可以得到债券定价的全部信息,它是无套利模型的基准模型。但是模型本身在应用的过程中也会产生问题。在构造利率变动的二叉数或者三叉数模型时,利率通常在上升和下降后就不会再重新聚合。也就是说,利率先上升后下降与先下降后上升之后所达到的不是同一个节点,利率变动不是马尔可夫链。这就会导致二叉树模型的最终节点的几何扩大,极大地增加计算和模拟的难度。


HJM模型的缺陷是什么


  HJM模型也有一些不足之处:


  1、瞬时远期利率不是直接可观察的,因此要应用HJM模型就可能比较困难。



  2、HJM框架中,瞬时远期利率的连续复合排除了出现对数正态过程的可能性。


二维码

扫码加我 拉你入群

请注明:姓名-公司-职位

以便审核进群资格,未注明则拒绝

全部回复
2018-10-7 08:55:24
HJM may have explosiveness problems for finite time.
二维码

扫码加我 拉你入群

请注明:姓名-公司-职位

以便审核进群资格,未注明则拒绝

相关推荐
栏目导航
热门文章
推荐文章

说点什么

分享

扫码加好友,拉您进群
各岗位、行业、专业交流群