全部版块 我的主页
论坛 提问 悬赏 求职 新闻 读书 功能一区 经管百科 爱问频道
956 0
2015-07-01
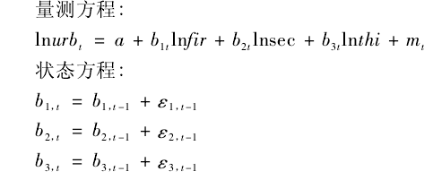
[img]file:///C:\Documents and Settings\Administrator\Application Data\Tencent\Users\52917770\QQ\WinTemp\RichOle\MPZWG({8})ISX1[MN0`NO~7.png[/img]我建立的方程
@signal lny=c(1)+sv1*lnx1+sv2*lnx2+sv3*lnx3+[var=exp(c(2))]
@state sv1=sv1(-1)
@state sv2=sv2(-1)
@state sv3=sv3(-1)
@param c(1) 2.932 c(2) -6.309
不知道状态方程对不,不对该如何修正


附件列表
MPZWG({8})ISX1[MN0`NO~7.png

原图尺寸 13.49 KB

MPZWG({8})ISX1[MN0`NO~7.png

二维码

扫码加我 拉你入群

请注明:姓名-公司-职位

以便审核进群资格,未注明则拒绝

相关推荐
栏目导航
热门文章
推荐文章

说点什么

分享

扫码加好友,拉您进群
各岗位、行业、专业交流群