全部版块 我的主页
论坛 经济学论坛 三区 微观经济学 经济金融数学专区
2828 10
2015-07-21
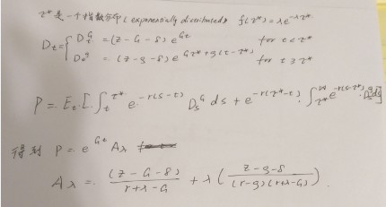
请问下面题里面的A是怎么推导出来的?有大牛能展示推导过程不?谢了,请忽略第一个手写的图,上传了清晰的图,希望大家解答!谢谢

附件列表
UNz@$Y3P@3@ZWXHIGD6{M.jpg

原图尺寸 16.13 KB

UNz@$Y3P@3@ZWXHIGD6{M.jpg

%IJ8P82O]EI$OEGR_DE`8OG.jpg

原图尺寸 22.29 KB

%IJ8P82O]EI$OEGR_DE`8OG.jpg

5P640Z1~}E8HPNZ]$%77GTW.jpg

原图尺寸 29.64 KB

5P640Z1~}E8HPNZ]$%77GTW.jpg

二维码

扫码加我 拉你入群

请注明:姓名-公司-职位

以便审核进群资格,未注明则拒绝

全部回复
2015-7-21 13:01:14
用电脑把图片下载到了本地依然看不清lz的问题,所以只好简要的说两句了:对s积分的时候就把其它的变量看成参数,然后把干扰项提到积分号外面去。剩下的主要就是s*e^s的积分,这个可以分部积分转化为e^s的积分,然后就有了最后的结果。只要细心或者用Mathematica,都能算对,其实并不难的~
二维码

扫码加我 拉你入群

请注明:姓名-公司-职位

以便审核进群资格,未注明则拒绝

2015-7-21 13:23:29
foozhencheng 发表于 2015-7-21 13:01
用电脑把图片下载到了本地依然看不清lz的问题,所以只好简要的说两句了:对s积分的时候就把其它的变量看成参 ...
特别特别感谢您的回复,我更新了一个清晰的图。但是问题是积分限也是变量好像,所以我在这稍微有点问题。希望ls精彩解答!
二维码

扫码加我 拉你入群

请注明:姓名-公司-职位

以便审核进群资格,未注明则拒绝

2015-7-23 12:11:43
算了一下,发现好像和lz给的答案不大一样唉。。。想问一下E_t[...]是对\tau^*求期望么?还是窝理解错了?另外P_{fi,t}^{before}的公式不是仅对t < \tau^*时成立么?那么此时E_t[...]里面的P_{fi,t}^{after}又该如何理解?
二维码

扫码加我 拉你入群

请注明:姓名-公司-职位

以便审核进群资格,未注明则拒绝

2015-7-23 13:20:10
chenchengzhi22 发表于 2015-7-21 13:23
特别特别感谢您的回复,我更新了一个清晰的图。但是问题是积分限也是变量好像,所以我在这稍微有点问题。 ...
辛苦两日用TeX码了个解答,但是结果不对,望与lz再讨论~


二维码

扫码加我 拉你入群

请注明:姓名-公司-职位

以便审核进群资格,未注明则拒绝

2015-7-23 13:27:46
窝又传图失败。。。还是上传pdf吧。。。
附件列表

answer.pdf

大小:295.63 KB

 马上下载

码了两条终于码出来了。。。结果却不对。。。

二维码

扫码加我 拉你入群

请注明:姓名-公司-职位

以便审核进群资格,未注明则拒绝

点击查看更多内容…
相关推荐
栏目导航
热门文章
推荐文章

说点什么

分享

扫码加好友,拉您进群
各岗位、行业、专业交流群