全部版块 我的主页
论坛 金融投资论坛 六区 金融学(理论版)
842 5
2015-09-11
悬赏 100 个论坛币 未解决
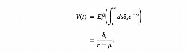
leland 模型里的
二维码

扫码加我 拉你入群

请注明:姓名-公司-职位

以便审核进群资格,未注明则拒绝

全部回复
2015-9-11 16:39:12
An EBIT-Based Model of Dynamic
CapitalStructure   这篇文章里的
二维码

扫码加我 拉你入群

请注明:姓名-公司-职位

以便审核进群资格,未注明则拒绝

2015-9-11 16:55:09
追风踏浪 发表于 2015-9-11 16:39
An EBIT-Based Model of Dynamic
CapitalStructure   这篇文章里的
这文章里没看到类似的公式。
你还是上传一份吧,顺便指明在哪一页。
二维码

扫码加我 拉你入群

请注明:姓名-公司-职位

以便审核进群资格,未注明则拒绝

2015-9-11 17:14:14
rhapsodyr 发表于 2015-9-11 16:55
这文章里没看到类似的公式。
你还是上传一份吧,顺便指明在哪一页。
二维码

扫码加我 拉你入群

请注明:姓名-公司-职位

以便审核进群资格,未注明则拒绝

2015-9-11 17:14:55
rhapsodyr 发表于 2015-9-11 16:55
这文章里没看到类似的公式。
你还是上传一份吧,顺便指明在哪一页。
能加你qq聊吗?
二维码

扫码加我 拉你入群

请注明:姓名-公司-职位

以便审核进群资格,未注明则拒绝

2015-9-11 17:15:43
就在第七页
附件列表
二维码

扫码加我 拉你入群

请注明:姓名-公司-职位

以便审核进群资格,未注明则拒绝

栏目导航
热门文章
推荐文章

说点什么

分享

扫码加好友,拉您进群
各岗位、行业、专业交流群