经管之家App
让优质教育人人可得
立即打开
全部版块
我的主页
›
论坛
›
提问 悬赏 求职 新闻 读书 功能一区
›
经管百科
›
爱问频道
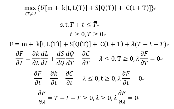
麻烦大神求解一下下面的非线性规划问题
楼主
cjh1412003
997
1
收藏
2015-11-13
悬赏
20
个论坛币
未解决
如上图 是不是必须要有函数形式才能求解上面的方程??如果不用怎么求解?
扫码加我 拉你入群
请注明:姓名-公司-职位
以便审核进群资格,未注明则拒绝
全部回复
沙发
hjyy120
2015-11-13 11:03:46
感觉特别复杂的样子啊,看的头都大了。
扫码加我 拉你入群
请注明:姓名-公司-职位
以便审核进群资格,未注明则拒绝
栏目导航
爱问频道
世界经济与国际贸易
学术道德监督
数据可视化
计量经济学与统计软件
金融实务版
热门文章
你的SSCI发表焦虑,AI真的能懂吗?——一篇 ...
CDA 数据分析师:统计制图实战指南 —— 让 ...
CDA数据分析脱产就业班于2025年08月02日开班 ...
2025年度国产AI芯片产业白皮书
这简单的几句话,完成了对传统和现代经济学 ...
数生万物,转型之本:数据资产运营白皮书-毕 ...
Machine-Learning-Tom-M.-Mitchell中文版.p ...
2025年中国城市可信数据空间行业研究报告
《统计分析与spss的应用(第五版)》数据.r ...
2025 生成式人工智能应用发展报告
推荐文章
AI狂潮席卷学术圈,不会编程也能打造专属智 ...
10月重磅来袭|《打造Coze/Dify专属学术智能 ...
最快1年拿证,学费不足5W!热门美国人工智能 ...
关于如何利用文献的若干建议
关于学术研究和论文发表的一些建议
关于科研中如何学习基础知识的一些建议 (一 ...
一个自编的经济学建模小案例 --写给授课本科 ...
AI智能体赋能教学改革: 全国AI教育教学应用 ...
2025中国AIoT产业全景图谱报告-406页
关于文献求助的一些建议
说点什么
分享
微信
QQ空间
QQ
微博
扫码加好友,拉您进群
各岗位、行业、专业交流群