经管之家App
让优质教育人人可得
立即打开
全部版块
我的主页
›
论坛
›
提问 悬赏 求职 新闻 读书 功能一区
›
悬赏大厅
求助公式在lingo中的程序表达
楼主
yaogavin
1016
0
收藏
2016-02-15
悬赏
70
个论坛币
未解决
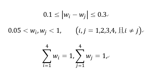
请大神帮忙写一下程序表达式吧,谢谢。
QQ图片20160215120549.png
原图尺寸 11.29 KB
QQ图片20160214234513.png
原图尺寸 10.22 KB
扫码加我 拉你入群
请注明:姓名-公司-职位
以便审核进群资格,未注明则拒绝
相关推荐
[求助]帮忙看看这个LINGO结果吧,怎么解释啊
lingo 软件的学习 15分中就搞定!
lingo资料PPT版本
谁有lingo11的破解版呀
急问一道求sample variance的SAS程序题
lingo10软件包括有注册码
求助lingo 接力赛
第一次
求个关于lingo表达式的助
无需安装,直接使用的LINGO软件包
栏目导航
悬赏大厅
经管在职研
求助成功区
真实世界经济学(含财经时事)
经管文库(原现金交易版)
数据分析师(CDA)专版
热门文章
CAIE人工智能工程师认证
CDA 数据分析师:线性回归实战指南 —— 从 ...
2025中国播客行业现状与发展趋势报告
2025年三季度中国消费者消费意愿调查报告
“十五五”规划建议稿解读:乘势而上,因势 ...
【详细整理,24重磅!】1990-2024上市公司市场 ...
奇瑞首夺J.D.Power-VDS自主冠军
十五五期间我国面临的宏观战略态势研究
金钱心理学:财富、人性和幸福的永恒真相 ( ...
【推荐】上市公司投资者信心指数计算Stata代 ...
推荐文章
AI狂潮席卷学术圈,不会编程也能打造专属智 ...
10月重磅来袭|《打造Coze/Dify专属学术智能 ...
最快1年拿证,学费不足5W!热门美国人工智能 ...
关于如何利用文献的若干建议
关于学术研究和论文发表的一些建议
关于科研中如何学习基础知识的一些建议 (一 ...
一个自编的经济学建模小案例 --写给授课本科 ...
AI智能体赋能教学改革: 全国AI教育教学应用 ...
2025中国AIoT产业全景图谱报告-406页
关于文献求助的一些建议
说点什么
分享
微信
QQ空间
QQ
微博
扫码加好友,拉您进群
各岗位、行业、专业交流群