全部版块 我的主页
论坛 经济学论坛 三区 微观经济学
1874 4
2016-02-27
悬赏 500 个论坛币 已解决
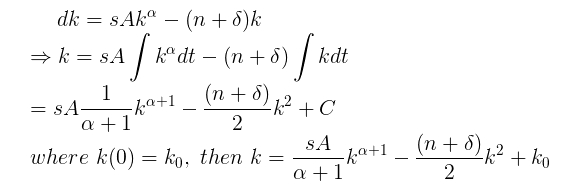
RT,题目如下:

1.jpg




要有详细的解题步骤,建议坛友自己在草稿纸上做好,然后拍照上传即可,谢谢大家!


各位坛友,有胆你就来吧




----------------------2016年2月27日09:15:48







二维码

扫码加我 拉你入群

请注明:姓名-公司-职位

以便审核进群资格,未注明则拒绝

全部回复
2016-2-27 09:15:49
1.png
二维码

扫码加我 拉你入群

请注明:姓名-公司-职位

以便审核进群资格,未注明则拒绝

2016-2-27 14:13:18
rhapsodyr 发表于 2016-2-27 09:15
多谢  再看看另外两题
二维码

扫码加我 拉你入群

请注明:姓名-公司-职位

以便审核进群资格,未注明则拒绝

2016-3-4 10:21:59
rhapsodyr 发表于 2016-2-27 09:15
这题不会有显示解。
二维码

扫码加我 拉你入群

请注明:姓名-公司-职位

以便审核进群资格,未注明则拒绝

2016-3-10 23:46:13
谢谢分享
二维码

扫码加我 拉你入群

请注明:姓名-公司-职位

以便审核进群资格,未注明则拒绝

相关推荐
栏目导航
热门文章
推荐文章

说点什么

分享

扫码加好友,拉您进群
各岗位、行业、专业交流群