全部版块 我的主页
论坛 经济学论坛 三区 微观经济学 经济金融数学专区
2389 2
2016-03-13
屏幕快照 2016-03-13 下午3.25.02.png 屏幕快照 2016-03-13 下午3.25.14.png

二维码

扫码加我 拉你入群

请注明:姓名-公司-职位

以便审核进群资格,未注明则拒绝

全部回复
2016-3-13 16:55:19
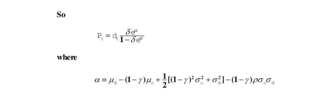
你所说没看懂的那一步就只是作了求期望而已,把随机部分即exp( 捕获.JPG ),套对数正态分布的期望值公式就行了
二维码

扫码加我 拉你入群

请注明:姓名-公司-职位

以便审核进群资格,未注明则拒绝

2016-3-14 17:08:35
crossbone254 发表于 2016-3-13 16:55
你所说没看懂的那一步就只是作了求期望而已,把随机部分即exp(),套对数正态分布的期望值公式就行了
推出来了,谢谢啊,我对对数正太分布不太熟悉,所以犯一些低级错误…
二维码

扫码加我 拉你入群

请注明:姓名-公司-职位

以便审核进群资格,未注明则拒绝

相关推荐
栏目导航
热门文章
推荐文章

说点什么

分享

扫码加好友,拉您进群
各岗位、行业、专业交流群