全部版块 我的主页
论坛 数据科学与人工智能 数据分析与数据科学 R语言论坛
4493 1
2016-03-23
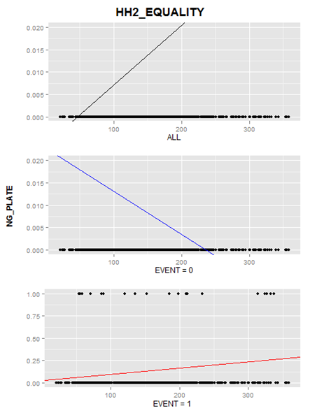
我想使用ggplot2的分面函数facet_grid绘制图形,出来的是三个图,但是我行让其中两个个图坐标系放大,其他的不变,我现在的程序只能同时将图放大
图片2.png
如图,图1、2的纵坐标范围是(0,0.02),图3纵坐标是(0,1)

我的程序如下
p<-ggplot(data=a,aes(HH2_EQUALITY,NG_PLATE))+geom_point()+geom_smooth(method="lm",se=FALSE)
q<-p+coord_cartesian(xlim=c(0,250),ylim=c(0,0.02)))
q+facet_grid(EVENT~.,margins=T)

二维码

扫码加我 拉你入群

请注明:姓名-公司-职位

以便审核进群资格,未注明则拒绝

全部回复
2017-1-4 02:50:25
ちゆき_ゆうな 发表于 2016-3-23 09:34
我想使用ggplot2的分面函数facet_grid绘制图形,出来的是三个图,但是我行让其中两个个图坐标系放大,其他的 ...
你只能同时放缩
二维码

扫码加我 拉你入群

请注明:姓名-公司-职位

以便审核进群资格,未注明则拒绝

相关推荐
栏目导航
热门文章
推荐文章

说点什么

分享

扫码加好友,拉您进群
各岗位、行业、专业交流群