经管之家App
让优质教育人人可得
立即打开
全部版块
我的主页
›
论坛
›
计量经济学与统计论坛 五区
›
计量经济学与统计软件
›
Stata专版
跪求非线性GMM程序相关详细资料
楼主
chengdj
1777
2
收藏
2016-04-21
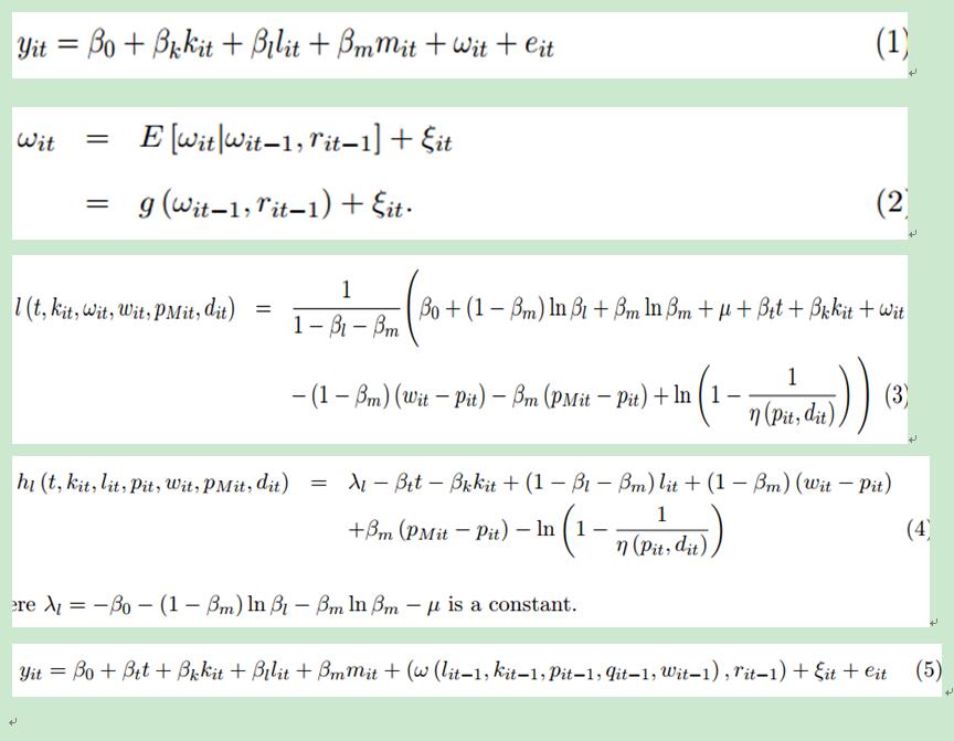
本人想使用非线性GMM计算企业个体生产率,对如下公式中的公式(5)进行估计,公式依次如下:
原文中作者使用非线性GMM对公式(5)中系数进行了估计,然后根据系数计算了生产率(公式(2)代表的是生产率),想知道非线性GMM在stata中操作的具体程序代码,若有高人指点,定有重谢!
扫码加我 拉你入群
请注明:姓名-公司-职位
以便审核进群资格,未注明则拒绝
全部回复
沙发
高山上的牧羊人
2023-4-23 02:14:38
您好,您知道了吗
扫码加我 拉你入群
请注明:姓名-公司-职位
以便审核进群资格,未注明则拒绝
藤椅
DAWN1406
2023-4-25 14:25:13
可以看看SPSSAU他们的帮助手册,写的还挺好的。
附件列表
Snipaste_2023-04-25_14-24-35.png
原图尺寸 108.08 KB
扫码加我 拉你入群
请注明:姓名-公司-职位
以便审核进群资格,未注明则拒绝
相关推荐
请问哪里有“美国-扣动扳机机制”的详细资料?
哪位仁兄知道如何才能查到我国出口企业和非出口企业的详细资料呢??
【100】悬赏求刘京生详细资料
求关于熵值法的详细资料,谢谢
美对台军售(详细资料2009,12)
学习VAR及脉冲响应的详细资料!
请问:哪里可以找到关于关税收入的详细资料?
求2012年CGA详细资料,2011年的也行
内蒙2013年 畜牧 数量 总类详细资料 各个市、旗都有
求关于Stata处理面板数据的详细资料
栏目导航
Stata专版
学道会
经管高考
经管文库(原现金交易版)
悬赏大厅
休闲灌水
热门文章
表格结构数据特征与CDA数据分析师:精准适配 ...
问卷填写,每份50个论坛币
【中国电信】2025年云计算研究白皮书
奇瑞QQ焕新归来
2025全球人工智能技术应用洞察报告
房地产行业:2026年,年轻人应该先买车还是 ...
普华永道 - 中国影响力报告2025
【24更新,自用整理!】2007-2024省级环境保护 ...
【24重磅更新】2000-2024上市公司盈余管理合 ...
CDA数据分析脱产就业班于2026年3月7日开班! ...
推荐文章
2026JG学术冬训营:从Stata初高到Python机器 ...
【必看】【本版版规,欢迎发悬赏贴求助】
26年寒假天津站|Gemini论文写作&数据分析 ...
关于如何利用文献的若干建议
关于学术研究和论文发表的一些建议
关于科研中如何学习基础知识的一些建议 (一 ...
一个自编的经济学建模小案例 --写给授课本科 ...
AI智能体赋能教学改革: 全国AI教育教学应用 ...
2025中国AIoT产业全景图谱报告-406页
关于文献求助的一些建议
说点什么
分享
微信
QQ空间
QQ
微博
扫码加好友,拉您进群
各岗位、行业、专业交流群