经管之家App
让优质教育人人可得
立即打开
全部版块
我的主页
›
论坛
›
计量经济学与统计论坛 五区
›
计量经济学与统计软件
›
Stata专版
面板数据求助
楼主
lanchengque
888
1
收藏
2016-05-19
悬赏
1
个论坛币
未解决
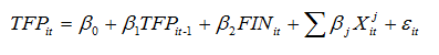
方程如下,如何设定xtabond的命令呀?最好附上详细解释,多谢!
1ZVO(]Z%MVB@REUW{3{%X}G.png
原图尺寸 1.64 KB
扫码加我 拉你入群
请注明:姓名-公司-职位
以便审核进群资格,未注明则拒绝
全部回复
沙发
lanchengque
2016-5-19 11:29:52
不是,用xtabond2的命令,多谢了~
扫码加我 拉你入群
请注明:姓名-公司-职位
以便审核进群资格,未注明则拒绝
相关推荐
界面数据合成面板数据求助!!
面板数据求助!!!
DEA面板数据求助
面板数据求助!
面板数据求助
平衡面板数据求助
面板数据求助
面板数据求助
面板数据求助
各位老师,面板数据求助!
栏目导航
Stata专版
市场营销
一带一路
R语言论坛
悬赏大厅
休闲灌水
热门文章
表格结构数据的核心特征及具象实例解析
高教现代数学基础23 矩阵计算六讲 徐树方,钱 ...
安徽全省一盘棋发力汽车产业
【24顶刊热点!】2000-2024上市公司股价崩盘 ...
求Journal of Computational and Graphical ...
查找文献Digital mapping of soil organic ...
【自用整理,24更新!】1999-2024我国省级知识 ...
《技术的本质》epub版本
精准匹配,菁英相伴--经管之家单身俱乐部, ...
科研时间70%耗在“下载-复制-粘贴”?零代码 ...
推荐文章
2026JG学术冬训营:从Stata初高到Python机器 ...
【必看】【本版版规,欢迎发悬赏贴求助】
26年寒假天津站|Gemini论文写作&数据分析 ...
关于如何利用文献的若干建议
关于学术研究和论文发表的一些建议
关于科研中如何学习基础知识的一些建议 (一 ...
一个自编的经济学建模小案例 --写给授课本科 ...
AI智能体赋能教学改革: 全国AI教育教学应用 ...
2025中国AIoT产业全景图谱报告-406页
关于文献求助的一些建议
说点什么
分享
微信
QQ空间
QQ
微博
扫码加好友,拉您进群
各岗位、行业、专业交流群