全部版块 我的主页
论坛 数据科学与人工智能 数据分析与数据科学 MATLAB等数学软件专版
3019 0
2016-05-27
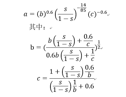
主要想观察a与s之间的关系,并画出二者之间的函数关系。
麻烦大家帮我看看,这个代码要怎么样编写呢?谢谢各位!

我的程序如下:但结果是错误的。
x1即为b,x2为c,k就是s,
function F=myfun(x,k)   
F=[x(1)-(((0.6/x(2))+x(1)*(k/(1-k)))/((1/x(2))+0.6*x(1)*(k/(1-k))))^0.5;x(2)-((0.6*k/((1-k)*x(1))+1)/(k/((1-k)*x(1))+0.6))];

x0=[1,1];%给x赋予初始值
options = optimset('Display','off');
s=0.1:0.05:0.95;
for i=1:1:length(s);
    kk=s(i);
    x=fsolve(@(x) myfun(x,kk), x0,options);
    x1(i)=x(1)
    x2(i)=x(2)
end
[m,n]=size(s)
s1=(s./(ones(m,n)-s)).^(((-0.28)/1.7)*ones(m,n))
a=x1.^(0.6*ones(m,n)).*s1.*x2.^(-0.6*ones(m,n))
plot(s,a)


附件列表
F(7HH{GB5(5Y4O45%J6OD@X.png

原图尺寸 14.05 KB

F(7HH{GB5(5Y4O45%J6OD@X.png

二维码

扫码加我 拉你入群

请注明:姓名-公司-职位

以便审核进群资格,未注明则拒绝

相关推荐
栏目导航
热门文章
推荐文章

说点什么

分享

扫码加好友,拉您进群
各岗位、行业、专业交流群