全部版块 我的主页
论坛 计量经济学与统计论坛 五区 计量经济学与统计软件 Stata专版
4987 3
2016-06-14
我有两组变量,是偏态分布,我用stata的swallis做了显著性检验,p值小于0.05,结果显著,但是我求均值,这两组变量的均值非常接近。哪位大神能帮我解释一下显著性检验,比如t检验等,检验的是两个总体的均值是否相等吗?检验结果和均值有什么关系呢?我说的结果显著,但是均值接近,矛盾吗?
附件列表
1.png

原图尺寸 6.03 KB

1.png

2.png

原图尺寸 6.01 KB

2.png

二维码

扫码加我 拉你入群

请注明:姓名-公司-职位

以便审核进群资格,未注明则拒绝

全部回复
2016-6-15 00:15:08
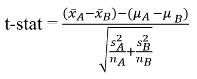
均值差異雖小,但因樣本(sample size)很大,以致標準差(standard error)非常小,稍有差異就會有很大的t-statistics值,因此效果顯著。成對樣本t-statistic
lecture-7-hypothesis-testing-two-sample-24-728.jpg
獨立樣本t-statistic
twosample.png

二维码

扫码加我 拉你入群

请注明:姓名-公司-职位

以便审核进群资格,未注明则拒绝

2016-6-15 09:16:28
非常感谢您的回复,看了您的解释,我的理解是,以t检验为例,涉及到均值、标准差、样本量,即使均值近似,标准差差的较大也会显著。我用的kw检验,不是t检验,t检验适用于小样本,kw检验也是这个道理?
二维码

扫码加我 拉你入群

请注明:姓名-公司-职位

以便审核进群资格,未注明则拒绝

2016-6-15 09:58:33
阿璇2016 发表于 2016-6-15 09:16
非常感谢您的回复,看了您的解释,我的理解是,以t检验为例,涉及到均值、标准差、样本量,即使均值近似,标 ...
Kruskal-Wallis rank test 道理不同,排序後看 chisq。如果照density function看來,第二圖值為零的比例蠻高的。也許你作sum ..., detail 看percentile 或boxplot可以看出分佈上是否過於集中,這在chisq影響很大。
二维码

扫码加我 拉你入群

请注明:姓名-公司-职位

以便审核进群资格,未注明则拒绝

相关推荐
栏目导航
热门文章
推荐文章

说点什么

分享

扫码加好友,拉您进群
各岗位、行业、专业交流群