经管之家App
让优质教育人人可得
立即打开
全部版块
我的主页
›
论坛
›
数据科学与人工智能
›
数据分析与数据科学
›
MATLAB等数学软件专版
求数值解
楼主
liuliuqiu
816
0
收藏
2016-10-31
悬赏
50
个论坛币
未解决
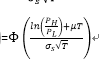
如上方程,利用matlab得不到解析解(已尝试),在这种情况下,查阅资料说可以得到数值解,但刚刚使用matlab,不知如何才能得到数值解,恳请各位说的详细一些,感谢。
如果不好求解,再退一步,我最后想得到的结果为
关于
的大小变化情况,没有具体表达式的话,只作图也可。
感谢解答
QQ截图20161031172411.png
原图尺寸 747 Bytes
QQ截图20161031172228.png
原图尺寸 2.67 KB
扫码加我 拉你入群
请注明:姓名-公司-职位
以便审核进群资格,未注明则拒绝
相关推荐
matlab
MATLAB基础与应用教程下载
Matlab2012b安装问题,请问该怎么办?谢谢
Matlab做空间面板时的路径设置问题
基于matlab的统计分布拟合及其代码实现
解决 Matlab 图片中文乱码问题
matlab
matlab与随机前沿(SFA)
matlab2016b
matlab
栏目导航
MATLAB等数学软件专版
经管文库(原现金交易版)
海外生活
投行专版
爱问频道
学习笔记1.0
热门文章
当AI遇见ML:高校教师如何借助AI与机器学习 ...
CDA 认证考试大纲 2025 重磅更新:一二级考 ...
乡村振兴相关数据
管理者微观经济学 Microeconomics for Mana ...
【24重磅,优化版本!】2003-2024上市公司股票 ...
《数据要素发展报告(2025年)》---来源:中 ...
CDA数据分析师:全流程拆解数据治理开展路径 ...
【多指标】2000-2024年上市公司企业债务融资 ...
CDA数据分析脱产就业班于2025年12月08日开班 ...
AI Core产业营销思考
推荐文章
12月武汉站|Deepseek辅助论文写作与数据分 ...
2026JG学术冬训营:从Stata初高到Python机器 ...
关于如何利用文献的若干建议
关于学术研究和论文发表的一些建议
关于科研中如何学习基础知识的一些建议 (一 ...
一个自编的经济学建模小案例 --写给授课本科 ...
AI智能体赋能教学改革: 全国AI教育教学应用 ...
2025中国AIoT产业全景图谱报告-406页
关于文献求助的一些建议
几种免费下载文献的方法----我的文献应助经
说点什么
分享
微信
QQ空间
QQ
微博
扫码加好友,拉您进群
各岗位、行业、专业交流群